Foro de preguntas y respuestas de Matemáticas

logo beUnicoos
Los foros de unicoos se han unificado en nuestra nueva plataforma beUnicoos. Para dejar nuevas preguntas deberás hacerlo allí, donde además podrás encontrar nuevas asignaturas y herramientas para ayudarte más con tus estudios.

  • icon

    Gaussiano
    el 5/10/16

    Hoola! ¿me podrían recordar la fórmula para el límite elevado a infinito? ¿era esta?: para lim f(x)^g(x) =  e^[f(x)- g(x)] - 1 Gracias

    replythumb_up0 voto/sflag
    icon

    Antonio Silvio Palmitano
    el 5/10/16

    Si tratas con una función cuya exprresión es de la forma: u^v (en tu enunciado, tienes u = f(x), v = g(x)), aplicass propiedades de logaritmos y exponenciales:

    u^v = ( e^lnu )^v = e^( v*lnu )

    Luego, el límite queda:

    e^( Lím(v*lnu) )

    espero haberte ayudado.

    thumb_up1 voto/sflag
  • icon

    Pablo Reyes
    el 5/10/16

    Muy buenos días. Les planeto el siguiente problema: Prueba que hay un único número real x>0 tal que ln(x) + √x = 0

    replythumb_up0 voto/sflag
    icon

    Antonius Benedictus
    el 5/10/16

    Te lo explicamos, Pablo:

    thumb_up0 voto/sflag
    icon

    Pablo Reyes
    el 6/10/16

    Muchas gracias Antonio. Eres un crack!!!!

    thumb_up0 voto/sflag
  • icon

    Daniel Macchiavello
    el 5/10/16

    comunidad muy buenos dias porfavor una ayuda en este problema gracias de antemano

    replythumb_up0 voto/sflag
    icon

    Antonio Silvio Palmitano
    el 5/10/16

    Llamemos V al volumen del tanque: Observa que los caudales (volumen de agua por hora que aporta cada grifo) son:

    q1 = V/30, q2 = V/24, q3 = V/40.

    Luego, si llamamos t al intervalo de tiempo en el que funciona el primer grifo, observa que al segundo le corresponde (t - 4) ya que funciona 4 horas menos que el primero, y al tercero le corresponde (t - 8), ya que funciona cuatro horas menos que el segundo. 

    Luego, las cantidades de agua aportadas por cada grifo son:

    V1 = q1*t = V*t/30,

    V2 = q2*(t - 4) = V*(t - 4)/24 ,

    V3 = q3*(t - 8) = V*(t - 8)/40

    y la suma de las tres cantidades completan el volumen del tanque, por lo que planteamos:

    V1 + V2 + V3 = V

    luego sustituimos y queda:

    V*t/30 + V*(t - 4)/24 + V*(t - 8)/40 = V

    cancelamos el factor común V en todos los términos de la ecuación y queda:

    t/30 + (t - 4)24 + (t - 8)/40 = 1

    multiplicamos por 120 (que es el mínimo común múltiplo entre los denominadores) en todos los términos de la ecuación y queda:

    4*t + 5*(t - 4) + 3*(t - 8) = 120

    distribuimos en el segundo y el tercer término de la izquierda, hacemos pasajes de términos, reducimos términos semejantes y queda:

    12*t = 164

    despejamos, resolvemos y queda:

    t =41/3 = 13 + 2/3 = 13 horas con 40 minutos.

    Espero haberte ayudado.

    thumb_up1 voto/sflag
  • icon

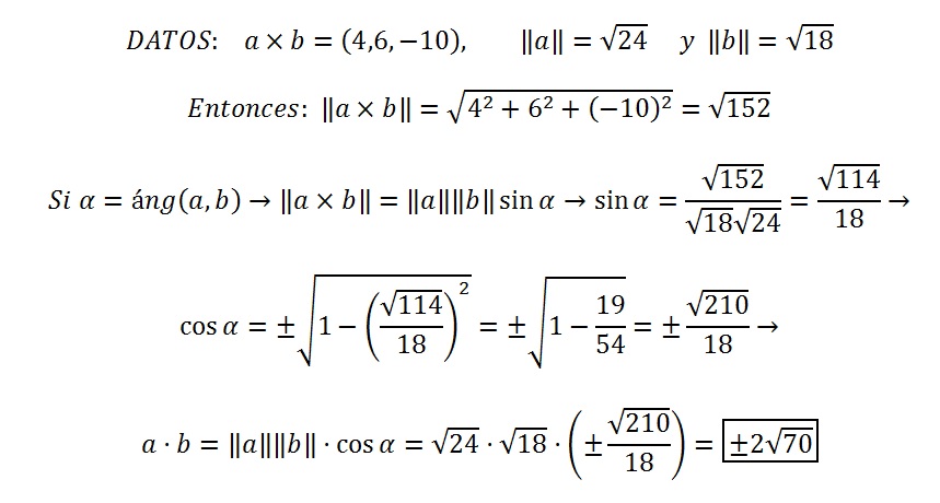
    Ángel
    el 5/10/16

    Hola,

    alguien me puede ayudar con este problema de álgebra vectorial en 3 dimensiones?

    Sabemos que:

    →Producto vectorial: × b = 4i + 6j -10k

    →Módulo de a:    |a|= raíz cuadrada de 24

    →Módulo de b:    |b|= raíz cuadrada de 18

    ¿Cual es el producto escalar (ab)?


        Gracias

    replythumb_up0 voto/sflag
    icon

    Antonius Benedictus
    el 5/10/16

    Sí, Matías:

    thumb_up1 voto/sflag
    icon

    Ángel
    el 24/7/17

    Correcto.

    thumb_up0 voto/sflag
  • icon

    Ignacio Pignanelli
    el 5/10/16

    A ver si me quedó claro: Podemos escribir cualquier función mediante una serie de potencias o más bien de Taylor, pero el hecho de que la serie represente o no  a la función depende directamente de que sea convergente en algún intervalo alrededor del punto que queremos aproximar.  Ahora bien, supongamos que converge en el intervalo deseado: Dicha serie es exactamente igual mediante el polinomio de Taylor a la función sólo si el resto es cero, si hay resto quiere decir que la serie se aproxima pero no es equivalente? Sé que el tema no se toca de lleno en unicoos, pero quizá alguien me puede aclarar. Graciass

    replythumb_up0 voto/sflag
    icon

    Antonio Silvio Palmitano
    el 5/10/16

    Debes tener en cuenta que si la función es polinómica, y planteas su máximo desarrollo de Taylor, este desarrollo es finito, el resto es igual a cero, y la función es igual al polinomio de Taylor.

    Y si la función no es polinómica, el polinomio de Taylor con grado n aproxima a la función en el intervalo de convergencia, y el resto correspondiente, sin acotar, es la diferencia entre la función y el polinomio. Recuerda que según la fórmula del resto de Lagrange, existe un valor c tal que permite calcular el resto exacto, pero es muy difícil de determinar con precisión, por lo que se busca la cota de error.

    Espero haberte ayudado.

    thumb_up1 voto/sflag
  • icon

    Gaussiano
    el 5/10/16

    Hoola! ¿Hallo bien estas derivadas? Gracias

    replythumb_up0 voto/sflag
    icon

    Antonio Silvio Palmitano
    el 5/10/16

    Has resuelto correctamente el ejercicio 19.

    Para el ejercicio 20, observa que tratas con una función cuya expresión es un producto: y = u*v, en la que tienes:

    u = ( sen(x+1) )^2, cuya derivada queda: u ' = 2 * sen(x+1) * cos(x+1)

    v = ( cos(-1/x) )^5, cuya derivada queda: v ' = 5 * ( cos(-1/x) )^4 * ( - sen(-1/x) ) * (1 / x^2).

    Luego queda que sustituyas en la expresión general de la derivada de un producto de funciones:

    y ' = u ' * v + u * v '.

    Espero haberte ayudado.

    thumb_up1 voto/sflag
  • icon

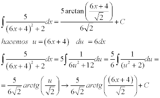
    Gaussiano
    el 5/10/16

    Hoola! ¿Resuelvo bien esta integral?

    replythumb_up0 voto/sflag
    icon

    César
    el 5/10/16

    Algo falta ahi Alien

    thumb_up0 voto/sflag
  • icon

    Lucas
    el 4/10/16

    Hola profe como esta? Quería preguntarle si había algún video donde explique cifras significativas o si me las puede explicar.. gracias desde ya!

    replythumb_up0 voto/sflag
    icon

    David
    el 6/10/16

    No hay ninguno.. Pero no tiene mayor complicacion... 

    NormaEjemplo
    Son significativos todos los dígitos distintos de cero.
    8723 tiene cuatro cifras significativas
    Los ceros situados entre dos cifras significativas son significativos.
    105 tiene tres cifras significativas
    Los ceros a la izquierda de la primera cifra significativa no lo son.
    0,005 tiene una cifra significativa
    Para números mayores que 1, los ceros a la derecha de la coma son significativos.
    8,00 tiene tres cifras significativas
    Para números sin coma decimal, los ceros posteriores a la última cifra distinta de cero pueden o no considerarse significativos. Así, para el número 70 podríamos considerar una o dos cifras significativas. Esta ambigüedad se evita utilizando la notación científica.
    7 · 102 tiene una cifra significativa
    7,0 · 102 tiene dos cifras significativas

    thumb_up0 voto/sflag
  • icon

    oumaima
    el 4/10/16

    buenas me podrían ayudar por faor en el limite del ejercicio 21, gracias.




    replythumb_up0 voto/sflag
    icon

    Antonius Benedictus
    el 5/10/16

    Es (+∞)·(+∞)=+∞, pues arctan(+∞)=π/2

    thumb_up1 voto/sflag
  • icon

    Laura Sierra
    el 4/10/16

    Necesito ayuda!! 

    No comprendo las curvas de nivel. En si, la definición si, pero no se como representarlas. 
    Me ponen ejercicios como este:

    replythumb_up1 voto/sflag
    icon

    César
    el 4/10/16

    Las curvas de nivel es la que resulta de cortar por un plano z=c , es decir paralelo al plano z=0

    en el primer caso 9x2-(y-1)2=z  si hacemos la curva de nivel z=1 y z=3/2  (ver figura) su interseccion resulta ser elipses, si las proyectamos en el plano z=0 veras lo que siguen siendo elipses, del conjunto de elipses proyectadas esas son las curvas de nivel

    thumb_up1 voto/sflag