Que tal Unicoos me podrían ayudar con estos ejercicios, lo que pasa es que tengo una confusión ya que cuando tengo un ejercicio parecido a estos pero con el x cuadrada![]()
lo resuelvo mediante diferencia de cuadrados y mi duda es que si usare ese mismo método para estos ejercicios o habrá un metodo de diferencia de cuartos y otro de quintos? explíquenme por favor gracias
Hola que tal queria saber si me pueden ayudar en este ejercicio...
b) Determina los máximos, mínimos y puntos de inflexión de la función


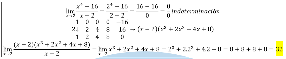
Tienes que hallar las raices o ceros de ese polinomio... Para ello, Ruffini o Cardano...
Formula de CardanoComo por Ruffini te será imposible, solo podrás hacer Cardano para obtener una de las raices. Las dos restantes podrás obtenerla haciendo una ecuación d segundo grado...
Nos cuentas ¿ok?

Veamos:
Consideramos la suma y el producto usuales en R, y la suma usual en R^2.
Pasamos a las propiedades del producto de vector por escalar.
Seudo distributividad con suma de vectores:
c*( (a,b) + (d,e) ) = c*(a+d,b+e) = ( c(a+d),0 ) = (ca+cd,0) = (ca,0) + (cd,0) = c(a,b) + c(d,e), se cumple.
Seudo distributividad con suma de esclares:
(c1 + c2)*(a,b) = ( (c1 + c2)a , 0 ) = (c1*a + c2*a , 0) = (c1*a,0) + (c2*a,0) = c1*(a,b) + c2*(a,b), se cumple.
Seudo asociatividad con producto de escalares:
(c1*c2)*(a,b) = ( (c1*c2)*a , 0 ) = ( c1*(c2*a) , 0 ) = c1*( c2 * (a,b) ), se cumple.
Seudo elemento neutro:
1*(a,b) = (1*a,0) = (a,0) que es distinto de (a,b), por lo tanto no se cumple, y la estructura no es espacio vectorial.
Espero haberte ayudado.
Buenas alguien me puede ayudar.
Calcula el numero real x de forma que el numero complejo (x+2i)/(4-3i) este en la primera bisectriz del primer cuadrante

Recuerda que en el primer cuadrante x es positivo e y también es positivo, y que en la bisectriz del primer (y del tercer) cuadrante, tenemos que y es igual a x, por lo que la parte real del complejo debe ser igual a su parte imaginaria, y ambas partes deben ser positivas..
Luego, multiplicamos al numerador y al denominador por el conjugado de éste último.
El numerador queda: N = (x+2i)(4+3i) = 4x + 3xi + 8i - 6 = (4x - 6) + (3x + 8)i.
El denominador qued D = (4-3i)(4+3i) = 16 + 9 = 25.
Luego, la parte real de la expresión queda: (4x - 6)/25, y la parte imaginaria queda: (3x +8)/25.
Luego, para cumplir las condiciones del enunciado, planteamos:
(4x - 6)/25 = (3x +8)/25, cancelamos denominadores comunes y queda:
4x - 6 = 3x + 8, hacemos pasaje de términos, reducimos términos semejantes y queda:
x = 14.
Espero haberte ayudado.