
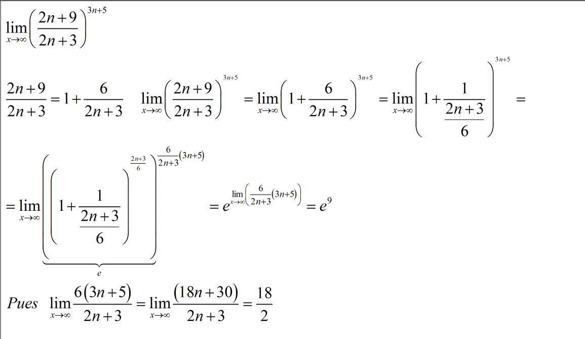
Observa que te piden verificar la igualdad, y observa también que V(18) = V(9*2) = V(9)*V(2) = 3V(2).
Luego reemplazamos y queda:
( 2V(3) - V(2) ) / V(18) = ( 2V(3) - V(2) ) / ( 3*V(2) ) = multiplicamos al numerador y al denominador por V(2):
= ( 2V(3) - V(2) )*V(2) / ( 3*V(2)*V(2) ) = distribuimos en el numerador, y resolvemos en el denominador:
= ( 2V(3)*V(2) - (V(2))^2 ) / ( 3 * (V(2))^2 ) = resolvemos y simplificamos raíces y potencias:
= ( 2V(6) - 2 ) / (3*2) = extraemos factor común en el numerador:
= 2(V(6) - 1)/(3*2) = simplificamos y llegamos a:
= (V(6) - 1)/3.
Espero haberte ayudado.
Hola , quisiera saber si esta reducción por Gauss está bien ya que en otra página lo hacen diferente
Muy buenas he intentado hacer este eje pero no consigo hallar la inversa della matrix que esta al lado de la x , si alguien me dice que estoy haciendo mal se lo agradecere mucho
Alguien me podría ayudar con este ejercicio de universidad. No soy capaz de encontrar la manera de entenderlo por más que sepa la solución. Me lo podrían explicar?
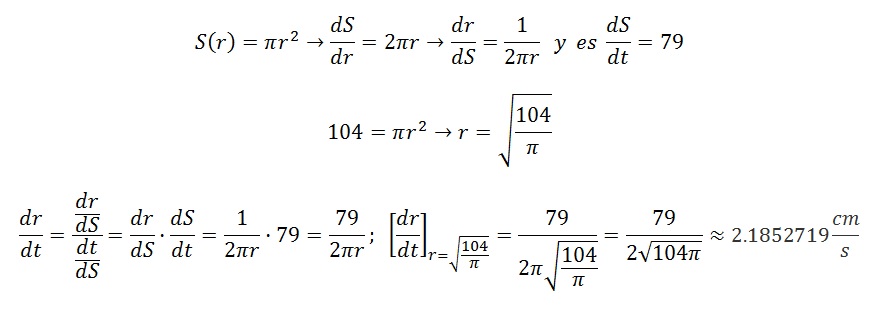
Tenemos un círculo cuya área aumenta a una velocidad constante de 79 centímetros cuadrados por segundo. En el momento en que el área es igual a 104 cm 2 , ¿cuál es la velocidad a la que aumenta su radio (en cm / s)?
Respuesta:
2.1852719.

Recuerda la expresión del área de un círculo: A = pi*r^2, de donde puedes despejar: r = V(A/pi) = (A/pi)^(1/2).
Luego, si consideramos que el radio es función del área, derivamos y queda:
r ' = (1/2)*(A/pi)^(-1/2)*(A '/pi)
Luego, tenemos los datos del enunciado:
A ' = +79 (expresada en cm^2 / seg)
A = 104 (expresada en cm^2)
Solo te queda reemplazar valores y resolver.
Espero haberte ayudado.
Hola, tengo una duda con la siguiente función a trozos:
a/x x ≤ -1
f(x)
(x^2 - b)/2 x >1
Se supone que tengo que buscar los valores de a y b que hagan que esta funcion sea derivable ∀ x∈R. Entonces para que una funcion sea derivable primero tiene que ser continua. En cada trozo es continua por ser polinómica. A la hora de mirar los cambios hay que mirar f(a) (siendo a el punto de cambio) y los límites laterales pero por uno de los dos lados en ambos casos no hay limite puesto que la funcion no esta definida para el intérvalo (-1,1). Ahora bien, la respueta sería que la funcion no es continua sea cual sea el valor de a o b porque la funcion no esta definida o hay alguna forma de hacerlo? Esta es mi duda y muchas gracias por anticipado.
Hola David. ¿Podrías hacer un vídeo de probabilidad condicionada? Me he atascado con este ejercicio:
En una ciudad la probabilidad de padecer cierta enfermedad es 0,2.
El diagnostico mediante análisis rutinarios se caracteriza por lo siguiente:
- La probabilidad de dar positivo si se está enfermo es 0,98.
- La probabilidad de dar positivo si no se está enfermo es 0,05.
Calcular las siguientes probabilidades:
a) Estar enfermo si se ha dado positivo.
b) No estar enfermo si se ha dado positivo.
Gracias de antemano ;).