Buenas tengo una pequeña duda acerca de este ejercicio. Quiero saber si esta bien resuelto y en el final del ejercicio me quedo raiz de indice 3 y dentro de ella 2(x-2) / 3 quiero saber si el dos(numerador) con el 3 denominador podria multiplicarlo? Porqie al multiplicar 2 x 3 me daria la solucion que me piden. Porque la solucion que me dan es: raiz de indice 3, y dentro de la raiz x-2/6. ![]()
![]()

Has planteado bien las expresiones de la funciones inversas. Observa que para la inversa de la función f te quedó el argumento x/2, que puede ser escrito: (1/2)*x.
Luego, cuando haces la composición de la función inversa de g con la función inversa de f, te queda una expresión con raíz cúbica, cuyo argumento es:
(1/2)*(x - 2)/3 = (1/2)*(1/3)*(x - 2) = (1/6)*(x - 2) = (x - 2)/6.
Espero haberte ayudado.
Hola, alguien me responde esto:
Los en los que la función
decrecen son:
1) -infinito,-3 [U] 3,INFINITO
2) -3,3
3) 3, INFITINO
4) Nunca

Observa que el dominio de la función es: D = (-inf,+inf).
La derivada primera de la función queda: f ' (x) = 3x^2 - 27.
Luego planteamos la condición de punto crítico (o singular, posible máximo o posible mínimo): f ' (x) = 0, reemplazamos y queda la ecuación:
3x^2 - 27 = 0, hacemos pasaje de término, luego de factor como divisor y queda:
x^2 = 9, cuyas soluciones son: x1 = -3, x2 = 3.
Luego, el dominio nos queda dividido en tres subintervalos, en cada uno de ellos elegiremos un valor representante, y lo evaluaremos en la derivada primera para establecer crecimiento o decrecimiento:
(-inf,-3), representado por: x = -4, el valor de la derivada primera para él es: f ' (-4) = 21 > 0, por lo que tenemos que f es creciente en este subintervalo;
(-3,3), representado por: x = 0, el valor de la derivada primera para él es: f ' (0) = -27 < 0, por lo que tenemos que f es decreciente en este subintervalo;
(3,+inf), representado por x = 4, el valor de la derivada primera para él es: f '(4) = 21 > 0, por lo que tenemos que f es creciente en este subintervalo.
Por lo tanto, concluimos que la función es decreciente en en el intervalo (-3,3).
Espero haberte ayudado.
hola buenas tardes, tengo una duda teorica, no es de un ejercicio en particular, como calculo los subespacios invariantes de una transformacion lineal T: v-->v? si me pudieran iluminar estaria agradecido

Puedes plantear: T(x,y) = <x,y>, que es la ecuación que corresponde al valor propio (o autovalor) L = 1 (indicamos lambda con L).
Si L = 1 no es autovalor de la transformación, verás que el subespacio invariante es: S = {o}, donde o indica vector nulo del espacio vectorial V.
Por ejemplo, si T: R^2 --> R^2, con T(x,y) = < 2x , 4x + y >, planteamos la condición de vector invariante: T(x,y) = < x , y >, y queda el sistema de ecuaciones:
2x = x
4x + y = y
haces pasajes de términos, reduces términos semejantes y queda:
x = 0
4x = 0
observa que es un sistema compatible indeterminado (en las dos ecuaciones obtenemos: x = 0 para cualquier valor de y), cuyas soluciones forman el subespacio: S = { < 0 , y > }.
Espero haberte ayudado.
Espero haberte ayudado.
Buenas tardes, se trata del ejercicio número uno, he preguntado a mucha gente y no saben resolverlo. Se hacer solo la distancia. Si pudierais indicarme de cómo realizarlo. Gracias!![]()

Observa que el vector director de la recta r es: u = <0,1,0>
a) Planteamos la ecuación del plano que contiene a P(0,0,2) y es perpendicular a r, por lo que su vector normal es: u = <0,1,0>, y su ecuación vectorial queda (indicamos producto escalar como o):
<0,1,0> o <x-0,y-0,z-2> = 0, resolvemos el producto escalar y la ecuación del plano perpendicular a r que pasa por P queda:
y = 0.
Luego, planteamos la intersección entre la recta r y el plano cuya ecuación hemos determinado, mediante el sistema de ecuaciones que contiene las ecuaciones de la recta y del plano:
x = 2
z = 0
y = 0
cuya solución es el punto: Q(2,0,0).
Por último, planteamos la distancia entre la recta r y el punto P como la distancia entre el punto Q y el punto P, la calculas y queda:
dist(r,P) = dist(Q,P) = V(8).
b) Planteamos el vector QX = <x-2,y-0,z-0> = <x-2,y,z>
Luego, a partir de la condición: OX es ortogonal a r, tenemos que OX es ortogonal a u, planteamos el producto escalar y queda:
<0,1,0> o <x-2,y,z> = 0, desarrollamos el producto escalar y queda la ecuación:
y = 0,
que nos indica que la curva está incluida en el plano coordenado XZ, cuya ecuación cartesiana es y = 0.
Luego, a partir de la condición: OX es ortogonal a sX (observa que los vectores directores son: v = PX = <x,y,z-2>, planteamos el producto escalar y queda:
<x-2,y,z> o <x,y,z-2> = 0, desarrollamos el producto escalar y queda la ecuación:
x(x-2) + y^2 + z(z-2) = 0,
que es la ecuación de una superficie que contiene a la curva.
Por lo tanto, el sistema de ecuaciones cartesianas que contiene a la curva es:
y = 0
x(x-2) + y^2 + z(z-2) = 0
Observa que podemos sustituir en la segunda ecuación, cancelar término nulo, y el sistema de ecuaciones que corresponde a la curva queda:
y = 0
x(x-2) + z(z-2) = 0
Observa ahora que si distribuimos, la segunda ecuación queda:
x^2 -2x + z^2 - 2z = 0, luego completamos desarrollos de binomios elevados al cuadrado, agrupamos y queda:
(x^2 - 2x + 1) + (z^2 - 2z + 1) = 1 + 1, que al factorizar en los agrupamientos y resolver a la derecha queda:
(x- 1)^2 + (z - 1)^2 = 2, que es la ecuación de un cilindro circular recto con eje paralelo al eje OX, con radio: R = V(2).
Por lo tanto, la curva buscada resulta ser la intersección del plano XZ con el cilindro, resulta ser una circunferencia, y queda descrita finalmente por el sistema de ecuaciones:
y = 0
(x- 1)^2 + (z - 1)^2 = 2
Espero haberte ayudado.
Buenas Uniccos, esstupenda pagina por cierto, felicidades por el exito que estáis teniendo.
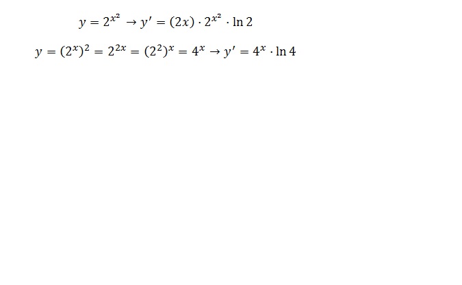
Mi pregunta es hecerca de como hacer esta derivada, 2^x^2, es decir si no me equivoco seria lo mismo que 22x

Debemos ser precisos con la notación. Si la expresión de la función es: f(x) = (2^x)^2 = por propiedad de una potencia cuya base es otra potencia = 2^(2x).
Recuerda la expresión de la derivada de una función exponencial con base a (a estrictamente positivo y distinto de 1, y = a^u), cuya expresión es: y ' = a^u * lna * u '.
En el ejercicio que nos ocupa, observa que tenemos: a = 2, u = 2x, de donde tenemos a su vez: u ' = 2, por lo tanto la derivada queda:
f ' (x) = 2^(2x) * ln(2) * 2.
Espero haberte ayudado.