Hola! A ver, en el ejercicio 3... A qué se refiere con simplificar las expresiones? Me podríais ayudar con el a) y así ya puedo hacer yo el resto?

Debes tener en cuenta que las funciones:
f(x) = e^x, que tiene dominio R e imagen (0,+inf)
g(x) = lnx, que tiene dominio (0,+inf) e imagen R
son inversas entre si, por lo tanto si las componemos obtenemos la función identidad, o sea:
e^(lnu) = u, con u perteneciente al dominio de la función logarítmica
ln(e^u) = u, con u perteneciente al dominio de la función exponencial.
Como ejemplos, veamos dos ejercicios de tu enunciado:
f) ln(1/e^x) = 1/e^x = e^(-x), observa que x puede tomar cualquier valor real,
g) e^(-ln(1/x)) = 1 / e^(ln(1/x)) = 1 / (1/x) = x, observa que x debe ser estrictamente positivo.
Espero haberte ayudado.
Tengo esta funcion y=-x^2.e^x (menos equis elevado al cuadrado por e elevado a la equis)
Como seria la manera correcta de derivarla? Osea me refiero a derivar y tratar de acomodarla lo mas prolijo posible, en caso de que me pidan igualar a 0 o hacer la segunda derivada.Yo la derive y me queda asi:
-2xe^x+e^x .(-x^2) No se si estara bien, pero de estarlo..se puede sacar algun factor comun o algo para dejarla mas limpia? Gracias

Si tienes: y = - x^2 * e^x, observa que se trata de un producto, cuyos factores son u y v, por lo que planteamos:
u = -x^2, cuya derivada es: u ' = -2x
v = e^x, cuya derivada es: v ' = e^x
Luego, por la regla de derivación de un producto tenemos:
y ' = - 2x * e^x - x^2 * e^x = e^x * (-2x - x^2) = - x * e^x * (2 + x)
Por lo que se ve, has derivado correctamente.
Espero haberte ayudado.

Observa que se trata de una función a trozos, cuyo punto de corte es x = 0.
Si calculas los límites laterales para x tendiendo a 0, verás que los valores de la función tienden a 1 por la izquierda (primer trozo), y también por la izquierda (segundo trozo, con un poco de trabajo), y que para x = 1 tenemos: f(0) = 0 + e^0 = 1, por lo que f resulta continua en el punto de corte.
Luego, observa que cada trozo por separado es continuo y derivable en su subdominio, por lo que tenemos:
f ' (x) = 1 + e^x si x < 0
f ' (x) = - lnx - 1, si x > 0
Solo nos queda estudiar la existencia de la derivada en el punto de corte x = 0, ya que la función es continua. Para ello, comencemos por estudiar los límites laterales de la función derivada:
Lím(x-->0-) f ' (x) = Lím(x-->0-) (1 + e^x) = 2
Lím(x-->0+) f ' (x) = Lím(x-->0+) (-lnx - 1) = +infinito
por lo tanto no existe el límite de la función derivada para x = 0, y tenemos que no es continua en x = 0.
Para asegurar que no existe la derivada para x = 0, deberíamos tomar los límites laterales del cociente incremental:
Lím(h-->0-) (f(0+h) - f(0))/h = Lím(h-->0-) (h + e^h - 1)/h = 2 (puede verificarse con otros recursos, por ejemplo la regla de L'Hôpital)
Lím(h-->0+) (f(0+h) - f(0))/h = Lím(h-->0+) (1 - h*lnh - 1)/h = Lím(h-->0+) h*lnh / h = lím(h-->0+) lnh = - infinito
por lo que tenemos que la función no es derivable en el punto de corte x = 0, ya que por el limite lateral por la derecha sabemos que no existe.
Espero haberte ayudao.
Hola. Que hay ? Por favor si pueden ayudarme con el siguiente ejercicio. Intenté Ruffini pero no me sale ninguna solución. Gracias.

Observa que la función cuya expresión es: f(x) = x^3 +17x -10 es continua y derivable en R y, en particular en el intervalo (0,19, y que a la ecuación podemos escribirla: f(x) = 0.
Observa que f(0) = -10 < 0, y que f(1) = 8 > 0, por lo que tenemos según el Teorema del Valor Intermedio que existe c perteneciente a (0,1) tal que f(c) = 0, observa que c es solución de la ecuación.
Luego, la derivada primera de la función queda; f ' (x) = 3x^2 + 17 > 0, por lo que tenemos que f es estrictamente creciente para todo valor x perteneciente a R, y en particular a (0,1), por lo que no existe otro valor que corresponda a una raíz de f (o solución de la ecuación f(x) = 0), por lo que concluimos que la raíz c es única.
Espero haberte ayudado.
Buenos días, creo que el ejercicio está mal por la parábola que me quedaría, ¿podrían echarle un vistazo?. Necesito ayuda ![]()
![]()

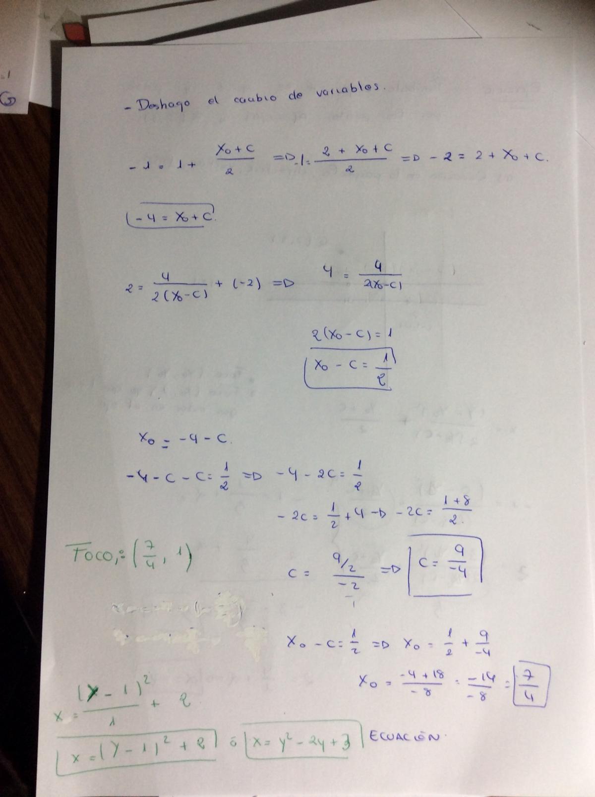
Puedes plantear la ecuación cartesiana canónica para una parábola con eje paralelo a OX, con vértice V(h,1) ubicado sobre su eje de simetría y = 1:
(y - 1)^2 = 4c(x - h) (**)
donde c es el parámetro, y |c| es la distancia entre el vértice y el foco de la parábola (las coordenadas del foco son: F(h+c,1), ya que pertenece al eje de simetría.
Luego, como los puntos A(-1,0) Q(2,3) pertenecen a la parábola, puedes reemplazar sus coordenadas en la ecuación y obtienes el sistema de ecuaciones:
(0- 1)^2 = 4c(-1 - h)
(3 - 1)^2 = 4c(2 - h)
Luego resolvemos y despejamos c en ambas ecuaciones y queda:
1 / (4(-1 - h)) = c (*)
1 / (2 - h) = c (*)
Luego igualamos y queda la ecuación:
1 / (2- h) = 1 / (4(-1 - h)), hacemos pasajes de divisores como factores y queda:
4(-1 - h) = 2 - h, de donde despejamos y queda: h = -2.
Luego reemplazamos en las ecuaciones señaladas (*) y tenemos: c = 1/4.
Luego, reemplazamos en la ecuación cartesiana canónica de la parábola señalada (**) y queda:
(y - 1)^2 = (x + 2)
Sus elementos son:
Eje de Simetría: y = 1
Vértice: V(-2,1)
Foco: F(-2+1/4,1), resolvemos la abscisa y queda: F(-7/4,1)
Directriz: x = -2 - 1/4, resolvemos y queda: x = -9/4.
Espero haberte ayudado.
Buenas noches.
¿Podrían decirme si hay algún error en la resolución que hice de este problema? Por favor
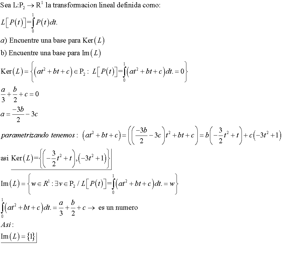
Es del tema de Álgebra de funciones-División.![]()
![]()

Observa que podemos escribir a la función g como una función en dos trozos, según la definición de valor absoluto:
-x - 1 = -1(x+1), si -4 <= x < 0
x - 1, si 0 <= x < 3.
Observa que para las dos funciones, el punto de corte entre trozos es x = 0. Luego, observa que el dominio de f es: Df = R y que g se anula para x = -1 y para x = 1, y que el dominio de g es: Dg = [-4,3).
Luego, el dominio de la función f/g queda: D = Df intersección Dg diferencia {-1,1} = [-4,-1)u(-1,1)u(1,3).
Luego, teniendo en cuenta el punto de corte x = 0, expresamos al dominio de la función f/g como unión de cuatro intervalos (agregamos un conjunto unitario con el punto de corte como único elemento):
D = [-4,-1) u (-1,0) u {0} u (0,1) u (1,3).
Para los dos primeros intervalos (observa que x<0 para ellos), las expresiones de las funciones son:
f(x) = x^2 + x = x(x + 1)
g(x) = -1(x + 1)
por lo tanto, la expresión de la función cociente (llamamos h = f/g)) será: h(x) = x(x + 1) / (-1(x + 1)) = x/(-1) = -x (*).
Para el punto de corte x = 0 tenemos:
f(0) = 0^2 + 0 = 0
g(0) = |0| - 1 = -1
por lo tanto el valor de la función cociente será: h(0) = 0/(-1) = 0 (**)
Para los dos últimos intervalos las expresiones de las funciones son:
f(x) = 2(x^2 - 3x + 2) = 2(x - 1)(x - 2) (puedes factorizar con la fórmula resolvente de las ecuaciones polinómicas cuadráticas)
g(x) = 1(x- 1)
por lo tanto la expresión de la función cociente será: h(x) = 2(x - 1)(x - 2) / 1(x - 1) = 2(x - 2) (***).
Por todo, concluimos que la expresión de la función cociente queda, a partir de las expresiones señaladas (*) (**) (***):
- x, si x pertenece a [-4,-1) u (-1,0)
0, si x = 0
2(x - 2), si x pertenece a (0,1) u (1,3).
Espero haberte ayudado.

Puedes expresar al polinomio: -t^2 + 4t +30 en forma canónica:
-(t^2 - 4t + 4) + 30 + 4 (observa que hemos restado 4 y sumado 4, y hemos agrupado según el signo negativo, por lo que el polinomio queda:
- (t - 2)^2 + 26, y la expresión de la función temperatura queda:
T(t) = - (t - 2)^2 + 26
cuya representación gráfica corresponde a una parábola con eje de simetría paralelo al eje de ordenadas, con vértice en el punto V(2,26), cuyas ramas se abren hacia abajo, por lo que la gráfica alcanza un Máximo Absoluto en su vértice, que corresponde a: t = 2, T(2) = 26.
Observa que para t<2 la temperatura aumenta, y para t>2 la temperatura disminuye, lo que confirma que la función alcanza un Máximo para t = 2.
Espero haberte ayudado.