hola buenas! si alguien pudiese solucionarme este ejercicio estaría muy agradecida:
se quiere enterrar un cable por el exterior de un terreno triangular de vertices A,B,C, rectángulo en B. se sabe que AC= 35,36 m y la altura sobre AC es 15,6 cm. calcula la cantidad de cable que necesita y cuánto costará, sabiendo que el rpecio es de 0,3 euros/ metro.
gracias e antemano! mi prblema es que no s ebien que hacer con cda dato que me dan....

Deberías dibujar el triangulo, sería más sencillo ayudarte.
A partir de ahí, te sugiero por ejemplo..
Tengo un par de dudas con determinacin de dominios
Alguien podria hacerme estos 3?
A) 1/raiz de 4-x
B) X/ (x-2)^2
C) Raíz de: x^2-4x-5
Solo el procedimiento, ya que me atasco
A)La cantidad subradical de una raíz cuadrada debe ser mayor o igual que cero, pero como esta raiz esta en el denominador, además debe ser distinta de 0
Entonces,
4-x>0
x<4
4>
Por lo tanto, Dom= ]-∞,4 [
B)En este caso, la expresión se indetermina cuando x = 2, porque el denominador seria igual a 0
Entonces,
Dom= R - {2}
C)Primero, factorizo la expresion, y queda raiz de:(x-5)*(x+1), para que la expresion se indetermine, la cantidad subradical debe ser menor que 0
Entonces
(x-5)*(x+1)<0
0>
x<5 y x>-1 ó x>5 y x<-1
x ∈ ]-1,5[ ó x ∈ {} (conjunto vacio, porque no existe un numero que sea mayor que 5 y menor que -1))
Luego,
Dom R - { ]-1,5[ }

¿has visto los videos de logaritmos? ¿sabías que logA-logB = log (A/B)?....
Se trata
de que DESPUES DE IR A CLASE (ver los vídeos relacionados con vuestras dudas)
enviéis dudas concretas, muy concretas. Y que nos enviéis también todo aquello
que hayais conseguido hacer por vosotros mismos. Paso a paso, esté bien o mal.
No solo el enunciado. De esa manera podremos saber vuestro nivel, en que
podemos ayudaros, cuales son vuestros fallos.... Y el trabajo duro será el
vuestro. #nosvemosenclase Nos cuentas ¿ok?
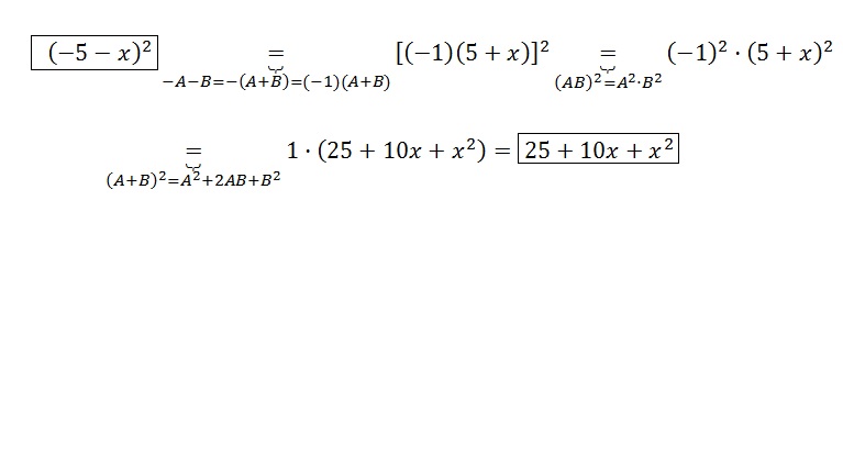
En el cuadrado de resta y cuadrado de una suma fallo muy común es que creemos que a y b mantienen su signo, pero no.
Pero entonces¿ por que cuando hacemos por ejemplo la formula para resolver una ecuación de 2ºgrado x= b±... etc ahí la B y C hay que ponerla con el signo que lleve, y en las identidades notables no?
adjunto un ejemplo de ambas situaciones, que debería dar -5 pero aplicando lo que se dice me da 5.
Me dicen que (-5-x)² es el cuadrado de una suma??, y que da 25+x²+10x...Pero si hay un menos. no lo entiendo...
Hola, Buenas, Tengo un inconveniente con el siguiente punto...
Determina todos los subconjuntos del conjuto X={a,b,c,d}. indica si cada uno de dichos subconjuntos es
a) abierto y cerrado
b)no es abierto pero si es cerrado
c) no es ni abierto ni cerrado
d) es abierto y no es cerrado.
Como demuestro esto? y que debo tener en cuenta?

Imagino que, si no se especifica más, se refiere a la topología discreta. en la que todo subconjunto de X es un abierto. Por tanto, cada uno de los subconjuntos son, a la vez, abiertos y cerrados.
P(X)=(∅,(a),(b),(c),(d),(a,b),(a,c),(a,d),(b,c),(b,d),(c,d),(a,b,c)(a,b,d),(b,c,d),X)