Buenas disculpen... Podrían ayudarme con este ejercicio de Trigonometria? Resolví esta parte... pero no estoy seguro de como resolver la faltante

tan30= y/3a.
A partir de ahí se trata de que apliques seno, coseno, tangente en todos los triangulos rectangulos que encuentres...
Por ejemplo, en el de la derecha.. tanγ=y/a... O tanδ=a/y... etc, etc, etc
Siento no poder ayudarte más, pero tu ejercicio es ciertamente complejo ¿universitario? ¿de una olimipiada?
Un abrazo!
holaa :) sera que me ayudan con estos ejercicios : 1) Un vector forma ángulos iguales con los ejer coordenados. Hallar sus cosenos directores
2) Hallar los cosenos directores de un vector situado en el plano coordenado xy, cuya dirección es la bisectriz del cuarto cuadrante.
Hola David espero estes muy bien
Queria saber si ttienen libros de algebra lineal, calculo diferencial, calculo integran, analisis vectorial, ecuaciones diferenciales, estudio ing. En sistemas y quiero prepararme bien y no encuentro otra mejor manera que mediante tus enseñanzas en youtube y además quisiera tener libros de lps que tu haces, y de fisica también, física de Universidad, o si tienes claces online tambien me encantaria, porque contigo se aprende de todo y muy rapido, eres y seras el mejor prodesor del mundo, espero tus respuesta profe David
Hola compañeros de unicoos, espero y puedan ayudarme con estos 2 ejercicios de Vectores:
1) si un vector de posición tiene módulo igual a 5 unidades y sus coordenadas en Y y Z son 3 y -4 respectivamente. Calcule la abscisa del vector
2) Si un vector de posición, tiene módulo igual a 3 unidades, y 2 de sus componentes son Ay= (0,2,0) y Az= (0,0,-1). Determine las coordenadas del vector A.

1)
Puedes plantear que las coordenadas del vector (v) son: v = < x , 3 , -4 >, y luego plantear:
|v| = 5, luego expresamos el módulo del vector en función de sus componentes y queda:
V( x^2 + 3^2 + (- 4)^2 ) = 5
resolvemos términos y reducimos términos semejantes en el argumento de la raíz y queda:
V( x^2 + 25 ) = 5
hacemos pasaje de raíz como potencia y queda:
x^2 + 25 = 25
hacemos pasaje de término, cancelamos a la derecha y queda:
x^2 = 0
luego hacemos pasaje de potencia como raíz, resolvemos y queda:
x = 0,
por lo que concluimos que la expresión del vector es:,
v = < 0 , 3 , - 4 >.
2)
Podemos comenar ppor plantear al vector que buscamos como suma de sus componentes:
A = < x , 0 , 0 > + < 0 , 2 , 0 > + < 0 , 0 , -1 >
luego resolvemos la suma de vectores y queda:
A = < x , 2 . -1 >.
Luego planteamos:
|A| = 3
luego expresamos el módulo del vector en función de sus componentes y queda:
V( x^2 + 2^2 + (-1)^2 ) = 3
resolvemos y reducimos términos semejantes en el argumento de la raíz y queda:
V( x^2 + 5) = 3
hacemos pasaje de raíz como potencia, resolvemos a la derecha y queda:
x^2 + 5 = 9
hacemos pasaje de término, resolvemos a la derecha y queda:
x^2 = 4
luego hacemos pasaje de potencia como raíz, resolvemos a la derecha, y tenemos dos opciones:
x1 = -2, que nos conduce al vector: A1 = < -2 , 2 , -1 >
x2 = 2, que nos conduce al vector: A2 = < 2 , 2 , 1 >.
Espero haberte ayudado.
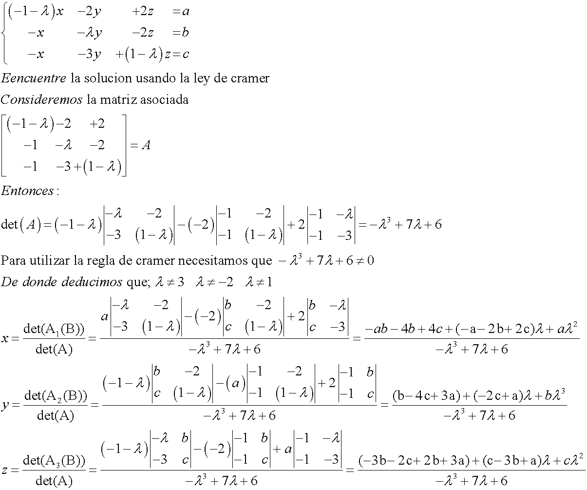
Saludos, unicoos. hoy de verdad les pido por favor, que me ayuden con el siguiene ejercicio de regla de cramer. de verdad espero que me puedan ayudar. gracias de antemano.

TIENES QUE DISCUTIR el SISTEMA para ver cuando es COMPATIBLE DETERMINADO.
Te sugiero estos vídeos..
Como resuelvo este limite con parte entera ? . Se trabajar con Valor Abs. Mas no se como trabajar con la parte entera para los limites.

Puedes aplicar propiedades de los límites, y calcular cada uno de ellos por separado.
Comencemos con el denominador: se trata de un límite directo y su resultado es 6.
Sigamos con el segundo factor del numerador: se trata de un límite directo y su resultado es 4.
Y por último pasamos al primer factor del numerador:
observa que si x tiende a 1 por la izquierda, tenemos que el argumento (x + 2) tiende a 3 por la izquierda. Y luego, a partir de la definición de función parte entera, tenemos que el resultado de este límite es 2.
Por lo tanto, el resultado será: 2*4/6 = 4/3.
Espero haberte ayudado.