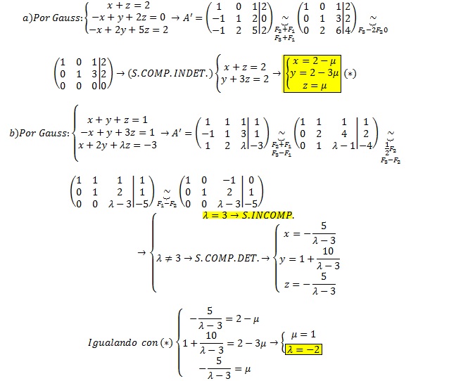
Hola buenas, tengo tan solo una duda, de un ejercicio de Selectividad, el cual dice así : Halla el valor que sea compatible en el sistema.
Ahora yo he hecho del Determinante y al hacerlo me da m^2, ahora mi pregunta es ¿termino diciendo que no hay solución real por lo que es un SCD?¿y por que? o ¿ tengo que ponerle algún valor real?
Me podríais decir solo cómo empezar ya que no puedo sustituir nada
Log base y (9-y) = 1/2
Log base x (y+9) = 2

Te lo envío hecho. te en cuenta que rechazo los valores negativo de la x pues la base de un logaritmo se exige que sea mayor que cero y distinto de uno. Igualmente se han comprobado los valores de y para el argumento del logaritmo sea positivo, puesto que no puede ser negativo.Un Saludo.
hola buenas tardes! me sois de mucha ayuda y he logrado hacer todos los ejercicios de semejanza menos el 6 y 7 que aparecen en la foto. si pudiesen ayudarme estaría muy agradecida :)
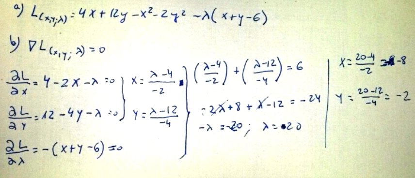
Por favor ayuda con este problema. hay derivadas parcciales y sistema de ecuaciones. pero se supone que ha de dar x 8⁄3, y 10⁄3, λ -4⁄3
en la suma de terminso he usado un factor comun -4, en todos los terminos, a ambos lados del igual. no se si esta bien.
Gracias

Observa la ecuación con el multiplicador lambda (L):
(L - 4)/(-2) + ((L - 12)/(-4) = 6
Observa que si extraes denominador común -4 a la izquierda, queda:
( 2(L - 4) + (L - 12) )/(-4) = 6
Distribuimos en el numerador de la izquierda y queda:
( 2L - 8 + L - 12 )/(-4) = 6
Reducimos términos semejantes en el numerador de la izquierda y queda:
( 3L - 20 )/(-4) = 6
Hacemos pasaje de divisor como factor, resolvemos a la derecha y queda:
3L - 20 = - 24
Hacemos pasaje de término, resolvemos a la derecha y queda:
3L = -4
Hacemos pasaje de factor como divisor y llegamos a:
L = - 4/3.
Luego reemplazas en las ecuaciones para calcular x e y, y quedan:
x = ( -4/3 - 4 )/(-2) = ( - 16/3)/(-2) = 8/3
y = ( -4/3 - 12 )/(-4) = ( - 40/3 )/(-4) = 10/3.
Espero haberte ayudado.
¿Alguien podría ayudarme, por favor? Seguramente sea una tontería, pero no sé si lo he resuelto correctamente.
PLANTEA EL SIGUIENTE PROBLEMA: Una editorial puso a la venta tres libros de astronomía A, B y C.
El libro A se vendió a 28 €, el B a 30 € y el C a 25 €. Calcula cuántos ejemplares se vendieron de cada
uno de los tres libros, sabiendo que:
i) La editorial ingresó en total 4 280 000 €.
ii) El libro A se vendió tres veces más que el B.
iii) El libro C se vendió como el A y el B juntos.

Comienza por designar incógnitas:
x: cantidad de ejemplares vendidos del libro A,
y: cantidad de ejemplares vendidos del libro B,
z: cantidad de ejemplares vendidos del libro C.
Luego pasamos a las proposiciones del enunciado:
i) 28x + 30y + 25z = 4280000
ii) x = 3y (*)
iii) z = x + y.
Luego, pasamos a resolver el sistema de tres ecuaciones con tres incógnitas que nos ha quedado, para ésto, observa que si sustituimos la expresión de la segunda ecuación en las otras dos, operamos y reducimos términos semejantes y queda el sistema:
114y + 25z = 4280000
z = 4y (**).
Luego, sustituimos la expresión de la segunda ecuación que nos quedó en la primera, operamos y queda:
214y = 4280000, despejamos y llegamos a:
y = 20000
reemplazamos en la ecuación señalada (**) y queda:
z = 80000
reemplazamos enla ecuación señalada (*) y queda:
x = 60000.
Espero haberte ayudado.
Tengo un problema con este sistema de ecuaciones 2^(x) · 2^(y) = 32 y 3^(xy)= 729
No puedo cambiar variable, he igualado las bases pero me da que y= 0, no sé si lo estoy haciendo mal o no tiene solución

Observa que puedes aplicar propiedades de las potencias (ten en cuenta que 32 = 2^5 y que 729 = 3^6):
2^x * 2^y = 2^5, luego por producto de potencias con bases iguales: 2^(x + y) = 2^5, luego, por comparación tenemos: x + y = 5.
3^(xy) = 3^6, y luego por comparación tenemos: xy = 6.
Luego, tenemos el sistema de ecuaciones:
x + y = 5, de donde despejamos y tenemos que: y = 5 - x (*)
xy = 6
sustituimos en la segunda ecuación y queda
x(5 - x) = 6, distribuimos, hacemos pasaje de término, ordenamos términos y queda:
- x^2 + 5x - 6 = 0, multiplicamos en todos los términos de la ecuación por -1 y queda:
x^2 - 5x + 6 = 0, que es una ecuación polinómica cuadrática, aplicas la fórmula resolvente y tienes dos opciones en principio:
x1 = 2, reemplazamos en la ecuación señalada (*) y queda: y = 3;
x2 = 3, reemplazamos en la ecuación señalada (*) y queda: y = 2.
Por lo tanto, las dos opciones nos conducen a la misma solución: x = 2, y = 3.
Espero haberte ayudado.