tengo que representar esta funcion, hallar extremos, crecimiento y puntos de inflexion pero no me sale. agradeceria mucho una ayuda!!!

Tenemos:
f(x) = x^3 - 3x^2, el Dominio de la función es el conjunto de los números reales, y la gráfica no presenta asíntotas (recuerda que esta es una característica de las funciones polinómicas), y observa que su límite cuando x tiende a -infinito es -infinito, y cuando x tiende a +infinito es +infinito; luego
su derivada primera queda:
f ' (x) = 3x^2 - 6x
su derivada segunda queda:
f ' ' (x) = 6x - 6.
Planteamos la condición de punto crítico:
f ' (x) = 0, reemplazamos y queda:
3x^2 - 6x = 0 (observa que es una ecuación polinómica cuadrática, cuyas soluciones son: x1 = 0, x2 = 2.
Planteamos la condición de posible punto de inflexión:
f '' (x) = 0, reemplazamos y queda:
6x - 6 = 0, resolvemos y queda: x3 = 1.
Por lo tanto, dividimos el dominio en subintervalos: (-inf, 0), (0,1), (1,2), (2,+inf), y elegimos para cada uno de ellos un valor de x que represente a sus elementos, para el que evaluaremos su derivada primera para estudiar crecimiento, y su derivada segunda para estudiar concavidad:
(-inf, 0), representante: x = -1, para él tenemos: f ' (-1) = 9 > 0 (f es creciente), f '' (-1) = -12 (f es cóncava hacia abajo),
(0, 1), representante: x = 1/2, para él tenemos: f ' (1/2) = -9/4 < 0 (f es decreciente), f '' (1/2) = -3 (f es cóncava hacia abajo),
observa que f cambia de creciente a decreciente en x1 = 0, por lo que la gráfica de f presenta un máximo, y f(0) = 0,
(1,2), representante: x = 3/2, para él tenemos: f ' (3/2) = -9/4 (f es decreciente), f '' (3/2) = 3 > 0 (f es cóncava hacia arriba),
observa que f cambia de concava hacia abajo a cóncava hacia arriba en x3 = 1, por lo que la gráfica de f presenta inflexión, y f(1) = -2,
(2,+inf), representante: x = 3, para él tenemos: f ' (3) = 36 > 0 (f es creciente), f '' (3) = 12 > 0 (f es cóncava hacia arriba),
observa que f cambia de decreciente a creciente en x2 = 2, por lo que la gráfica de f presenta mínimo, y f(3) = 0.
Luego puedes graficar para corroborar la validez de la información que hemos obtenido, y verás que tanto el máximo como el mínimo son locales (o relativos).
Espero haberte ayudado.

Recuerda que el procedimiento para resolver divisiones con números complejos en forma cartesiana binómica es multiplicar al numerador y al denominador por el conjugado del denominador. Lo hacemos por separado:
en el numerador:
N = ( V(5) - i )( V(5) - i ) = 5 - V(5)i - V(5)i - 1 = 4 - 2V(5)i,
D = ( V(5) + i )( V(5) - i ) = ( V(5) )^2 - i^2 = 5 - (-1) = 6,
por lo tanto el resultado será:
z = N/D = ( 4 - 2V(5)i )/6 = 2/3 - ( V(5) / 3 )i (observa que está expresado en forma cartesiana binómica),
a continuación calculamos su módulo:
|z| = V( (2/3)^2 + ( - V(5) / 3 )^2 ) = V( 4/9 + 5/9 ) = V(1) = 1,
para visualizar su argumento, haz un gráfico y verás que a z le corresponde un punto ubicado en el cuarto cuadrante, por lo tanto su argumento (t) estará comprendido entre 270° y 360°, luego planteamos:
tan(t) = ( - V(5) / 3 ) : ( 2/3) = - V(5) / 2, luego componemos con la función inversa de la tangente y queda:
t = arctan( - V(5) / 2 ) = -48,19° + 360° = 311,81° (aproximadamente).
Por último, expresamos al número complejo en forma trigonométrica:
z = 1 * ( cos(311,81°) + i*sen(311,81°) ).
Espero haberte ayudado.

Puedes reescribir: log(125) = log(1000/8) = log(1000) - log(8) = 3 - log(2^3) = 3 - 3log(2).
Luego reemplazamos en la ecuación y queda:
(x^2 - 5x + 9)*log(2) + 3 - 3log(2) = 3, luego hacemos pasaje de término, cancelamos términos y queda:
(x^2 - 5x + 9)*log(2) - 3log(2) = 0, luego dividimos por log(2) en todos los términos y queda:
x^2 - 5x + 9 - 3 = 0, luego reducimos términos semejantes y queda:
x^2 - 5x + 6 = 0, luego aplicas la fórmula resolvente y legamos a:
x1 = 2, x2 = 3.
Espero haberte ayudado.

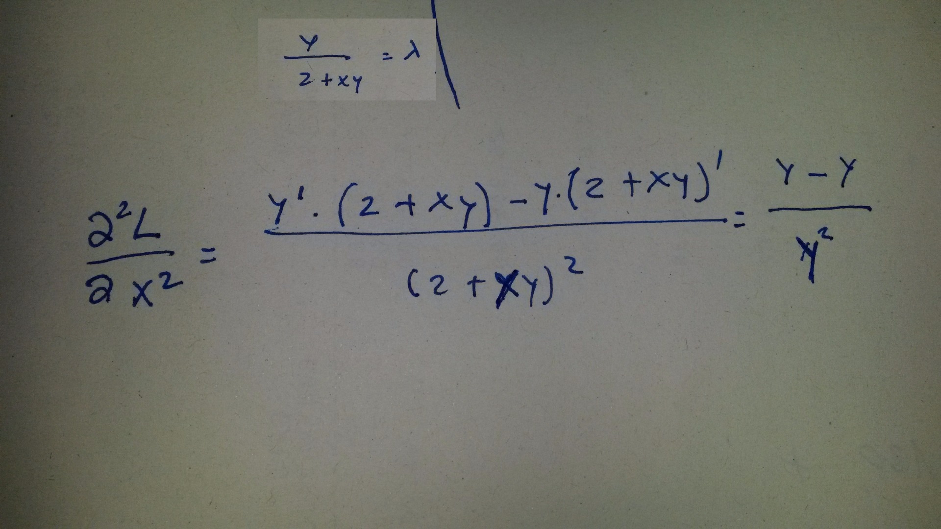
La derivada con respecto a x de 2+xy es x.y'.... La primera derivada parcial te quedará [y'(2+xy) - y.x.y'] / (2+xy)² = [2y' + xyy'-xyy']] / (2+xy)² = 2y' / (2+xy)²
Y tendrás que volver a derivar de nuevo... Te sugiero... Derivadas Parciales

Llamemos I1 e I2 a las integrales, por lo tanto tenemos la ecuación:
I1 + I2 = 1 (*).
Luego, vamos a calcular cada integral por separado:
Para I1 (la has integrado bien), y queda:
I1 = [ (1/4)x^2 - 4kx] = (evaluamos con regla de Barrow entre 0 y 2) = (1 - 8k) - (0 - 0) = 1 - 8k.
Para I2 (has integrado bien), y queda:
I2 = [ (3/5)x^2 - 3kx ] = (evaluamos con regla de Barrow entre 2 y 3) = (27/5 - 9k) - (12/5 - 6k) = 27/5 - 9k - 12/5 + 6k = 3 - 3k.
Luego, reemplazamos en la ecuación señalada (*) y queda:
(1 - 8k) + (3 - 3k) = 1, luego:
1 - 8k + 3 - 3k = 1, hacemos pasajes de términos, resolvemos y queda:
- 11k = -3, hacemos pasaje de factor y llegamos a:
k = 3/11.
Espero haberte ayudado.