Foro de preguntas y respuestas de Matemáticas

logo beUnicoos
Los foros de unicoos se han unificado en nuestra nueva plataforma beUnicoos. Para dejar nuevas preguntas deberás hacerlo allí, donde además podrás encontrar nuevas asignaturas y herramientas para ayudarte más con tus estudios.

  • icon

    Valeria
    el 28/8/16

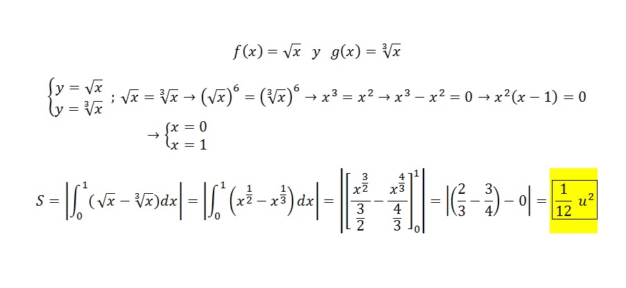
    Ayuda con esta integral definida por favor, no se como seguir desarrollandola , tengo examen mañana !!

    replythumb_up0 voto/sflag
    icon

    Antonius Benedictus
    el 28/8/16

    No es por partes, Valeria.
    Atenta al valor absoluto!

    thumb_up2 voto/sflag
  • icon

    GabrielOrellana
    el 28/8/16

    Por favor ayudenme con esta pregunta.
    Sea G={v1,v2,.....,vk} un subconjunto generador de un espacio "V". Demuestre que existe una base B de V tal que B⊂G

    replythumb_up0 voto/sflag
    icon

    Antonius Benedictus
    el 28/8/16

    Va, Gabriel:

    thumb_up2 voto/sflag
  • icon

    GabrielOrellana
    el 28/8/16

    Hola unicoos, perdonen por tener que molestarlos, otra vez con demostraciones de algebra lineal. pero me podrian ayudar a demostrar que si una funcion es invertible, entonces sus colunnas son linealmente independiente. Se que en efecto se cumple, puesto que si es invertible una matriz A, entonces la ecuacion Ax=0 tendra como unica solucion la trivial, y asi sus vectores no son multiplos de otros, y se cumple la independencia, pero no se como plantearlo y demostrarlo. gracias de antemano.

    replythumb_up0 voto/sflag
    icon

    Antonius Benedictus
    el 28/8/16

    Si una aplicación lineal es invertible, su matriz cuadrada A es invertible por lo que det(A)≠0. Entonces el rengo de A es máximo, por lo que sus columnas han de ser linealmente independientes.

    thumb_up2 voto/sflag
  • icon

    Argenis Briceño
    el 28/8/16

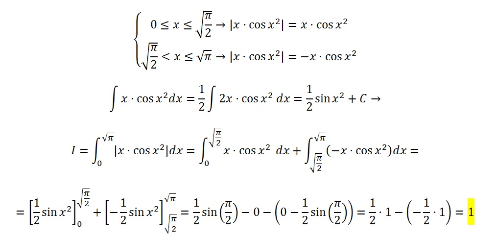
    como puedo hallar el valor de la constante ``K`` en esta integral gracias

    replythumb_up0 voto/sflag
    icon

    Axel Morales Piñón.
    el 29/8/16

    Te respondí abajo n.n

    thumb_up1 voto/sflag
  • icon

    Argenis Briceño
    el 28/8/16

    hola amigos me pueden ayudar a calcular el valor de la constante ``a`` en esta integral gracias

    replythumb_up0 voto/sflag
    icon

    Axel Morales Piñón.
    el 28/8/16

    Te ayudamos Argenis, revisa las operaciones.

    thumb_up1 voto/sflag
    icon

    Argenis Briceño
    el 28/8/16

    Peter disculpa como calculastes el 36?? gracias

    thumb_up0 voto/sflag
    icon

    Argenis Briceño
    el 29/8/16

    3*3*4

    thumb_up0 voto/sflag
    icon

    Axel Morales Piñón.
    el 29/8/16

    No Argenis, el mínimo común múltiplo de los denominadores es 12, así que multiplica a todo por 12 :-)

    thumb_up0 voto/sflag
    icon

    Argenis Briceño
    el 29/8/16

    puedes ayudarme con este por favor

    thumb_up0 voto/sflag
    icon

    Axel Morales Piñón.
    el 29/8/16

    ¡Claro! Argenis pero... ¿A qué está igualado?

    thumb_up1 voto/sflag
    icon

    Argenis Briceño
    el 29/8/16

    igualmente esta igualado a 1 muchísimas gracias

    thumb_up0 voto/sflag
    icon

    Axel Morales Piñón.
    el 29/8/16

    Terminamos Argenis:-)

    thumb_up0 voto/sflag
    icon

    Argenis Briceño
    el 29/8/16

    muchísimas gracias ahorita te paso uno que resolví para que me lo corrigas

    thumb_up0 voto/sflag
    icon

    Axel Morales Piñón.
    el 29/8/16

    En espera :-)

    thumb_up1 voto/sflag
    icon

    Argenis Briceño
    el 29/8/16

    asi es como voy pero no estoy seguro si lo estoy resolviendo bien me puedes ayudar gracias :)

    thumb_up0 voto/sflag
  • icon

    pablo
    el 28/8/16

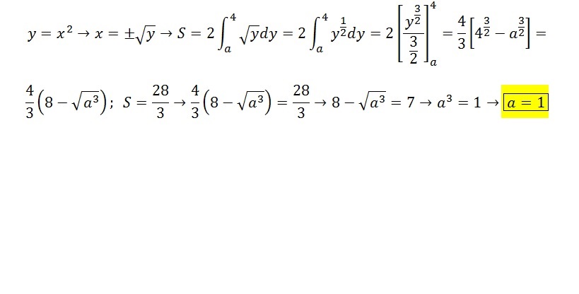
    Hola unicoos necesito ayuda con este ejercicio deberia salirme 28/3 y no me sale y nose donde fallo. Gracias.

    replythumb_up0 voto/sflag
    icon

    Antonius Benedictus
    el 28/8/16

    Te explicamos, Pablo. Hay que leer el ejercicio en términos de la variable y.

    thumb_up1 voto/sflag
  • icon

    Marta
    el 28/8/16

    Hola Unicoos, podríais ayudarme con estos ejercicios. El problema es que lo he intentado muchas veces pero no me sale no soy muy buena.

    replythumb_up0 voto/sflag
    icon

    Axel Morales Piñón.
    el 28/8/16

    Aquí van Marta

    thumb_up2 voto/sflag
    icon

    Marta
    el 28/8/16

    Me ha servido de mucho. Muchass Graciass Unicoos!! :)

    thumb_up0 voto/sflag
    icon

    Axel Morales Piñón.
    el 28/8/16

    Otra ...

    thumb_up2 voto/sflag
    icon

    Axel Morales Piñón.
    el 28/8/16

    Seguimos Marta

    thumb_up1 voto/sflag
    icon

    Axel Morales Piñón.
    el 28/8/16

    Una última :-)

    thumb_up1 voto/sflag
    icon

    Marta
    el 28/8/16

    Muchas Graciaass de verdad :)

    thumb_up0 voto/sflag
    icon

    Axel Morales Piñón.
    el 28/8/16

    Va otra.

    thumb_up1 voto/sflag
    icon

    Desencadenado
    el 28/8/16

    17) ;-)

    thumb_up1 voto/sflag
    icon

    Desencadenado
    el 29/8/16

    ;-)

    thumb_up1 voto/sflag
    icon

    Desencadenado
    el 29/8/16

    16)

    thumb_up1 voto/sflag
    icon

    Desencadenado
    el 29/8/16

    para corroborar te va el gráfico ;-)

    thumb_up1 voto/sflag
  • icon

    Francisco
    el 28/8/16

    Hola buenas, alguno sabe como reducir a la forma canónica la parabola y=-9x^2 + 36x - 35 ??? Muchaas gracias de antemano !

    replythumb_up0 voto/sflag
    icon

    Desencadenado
    el 28/8/16

    así Francisco ;-)

    thumb_up2 voto/sflag
    icon

    Francisco
    el 28/8/16

    Muchísimas gracias Nelson!

    thumb_up1 voto/sflag
  • icon

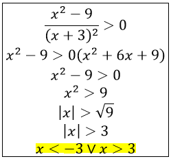
    Juan Tomas
    el 28/8/16

    En este caso de inecuación puedo pasar el denominador multiplicando al 0 al otro lado para eliminarlo?

    O debo factorizar?

    En cualquier caso me da >3 con el método y tras comprobarlo parece que es la solución.

    Gracias

    replythumb_up0 voto/sflag
    icon

    Desencadenado
    el 28/8/16

    así ;-)

    thumb_up2 voto/sflag
    icon

    Desencadenado
    el 28/8/16

    otra forma más corta ;-)

    thumb_up2 voto/sflag
  • icon

    pablo
    el 28/8/16

    Hola unicoos, como puedo hallar este area?

    replythumb_up0 voto/sflag
    icon

    Antonius Benedictus
    el 28/8/16

    Así, Pablo:

    thumb_up0 voto/sflag