Hola, buenas. Igual se sale un poco del tema pero al fin y al cabo es un problema de matemáticas. Si alguien puede ayudarme a entenderlo lo agradeceré muchísimo.
El caso es que quiero averiguar el método para capturar pokémon en Pokémon Go. Cuando te mueves y entras en un radio de 200 m del pokémon te sale una notificación, y cuando sales del radio te sale otra notificación.
Quisiera saber un método general para capturar pokémon. He visto este vídeo pero no me queda del todo claro:
https://youtu.be/j6gXoyTETCY
Muchísimas gracias por vuestro tiempo.

2)
Comencemos con el primer factor en el numerador (observa que es un binomio elevado al cuadrado):
(1 + V(3)i)^2 = 1 + 2V(3)i + (V(3)i)^2 = 1 + 2V(3)i - 3 = -2 + 2V(3)i.
Luego resolvemos el numerador (aplicamos propiedad distributiva del producto con respecto a la suma y la resta):
(-2 + 2V(3)i)*(V(3) - i) = -2V(3) + 2i + 6i + 2V(3) = 2 + 6i.
Luego resolvemos el cociente (recuerda que multiplicamos numerador y denominador por el conjugado del denominador):
En el numerador: (2 + 6i)*(-2 + 2i) = -4 + 4i - 12i -12 = -8 - 8i = 8(-1 - i).
En el denominador: (-2 -2i)*(-2+2i) = 4 -4i + 4i + 4 = 8.
Por último, el resultado será:
8(-1 -i)/8 = -1 - i = (V(2))(225°)
Observa que la parte real es -1 y la parte imaginaria es -1, por lo que su módulo quda:
V((-1)^2 + (-1)^2) = V(2)
y para calcular su argumento (observa que el número complejo se corresponde con un punto del tercer cuadrante) queda:
tan(t) = -1/(-1) = 1,
por lo tanto, su argumento será:
t = arctan(1) = 45° + 180° = 225°.
3)
a)
Comencemos por calcular o plantear las pendientes de las dos rectas (m1 para la recta AB y m2 para la recta CB):
m1 = (3 - 0)/(2 - (-2)) = 3/4
m2 = (3 - k)/(2 - 5) = (3 - k)/(-3)
luego planteamos la condición de perpendicularidad entre rectas:
m2 = -1/m1, reemplazamos, resolvemos a la derecha y queda:
(3 - k)/(-3) = - 4/3
luego hacemos pasaje de factor y resolvemos a la derecha y queda:
3 - k = 4
por último, hacemos pasajes de términos, resolvemos y queda:
-1 = k.
b) Debemos comenzar por encontrar la ecuación de la primera recta (observa que ya tenemos su pendiente m1 = 3/4), y considerando al punto A(-2,0) que pertenece a ella, planteamos:
y - 0 = (3/4)(x - (-2)), cancelamos término nulo, resolvemos a la derecha y queda:
y = (3/4)x + 3/2, luego multiplicamos por 4 en todos los términos, hacemos pasajes de términos y queda:
-3x + 4y - 6 = 0, que es una ecuación cartesiana implícita de la primera recta.
Luego planteamos la expresión de la distancia entre el punto C(5,k) y la recta, que sabemos que es igual a 5:
|-3*5 + 4*k - 6| / V( (-3)^2 + 4^2 ) = 5
resolvemos y queda:
|4k - 21| / 5 = 5
hacemos pasaje de divisor como factor, resolvemos y queda:
|4k - 21| = 25
que nos conduce a dos opciones:
4k - 21 = +25, que al despejar queda: k1 = 23/2
4k - 21 = -25, que al despejar queda: k2 = -1.
4)
a) Comencemos por hallar el punto de intersección, para ello planteamos el sistema de ecuaciones:
2x - y + 1 = 0
x + y - 4 = 0
lo resuelves por medio de algún método, y verás que el punto de intersección es: A(1,3).
Luego podemos calcular la pendiente de la recta BC (llamémosla m1):
m1 = (-2 - 0)/(1 - 3) = -2/(-2) = 1.
Luego planteamos la condición de paralelismo entre dos rectas:
m2 = m1, por lo que tenemos:
m2 = 1, y como la recta cuya ecuación estamos buscando pasa por el punto A(1,3), su ecuación cartesiana queda
y - 3 = 1(x - 1), operamos y queda:
y = x + 2
que es la ecuación cartesiana explícita de la recta buscada.
b)
Comencemos por plantear la pendiente de la recta t (llamémosla m3), para ello despejamos y en su ecuación y queda:
y = (3/k)x - 2/k,
que es su ecuación cartesiana explicita, en la que vemos que su pendiente queda planteada:
m3 = 3/k.
Luego, planteamos la tangente de la resta entre ángulos (llamemos A2 al de la recta del inciso anterior, y A3 al de la recta cuya pendiente es m3, por lo que tenemos:
tan(A2) = 1, de donde tenemos: A2 = 45°
tan(A3) = 3/k.
Luego, observa que la diferencia entre los ángulos de inclinación de las dos rectas es 45°, por lo tanto tenemos dos opciones:
1)
A2 - A3 = 45°, reemplazamos y queda:
45° - A3 = 45°, resolvemos y queda:
0 = A3,
luego tenemos que tan(A3) = 0, reemplazamos y queda:
3/k = 0, hacemos pasaje de divisor como factor y queda:
3 = 0*k, que es una igualdad absurda, por lo que no obtenemos valor de ka posible para esta opción:
2)
A3 - A2 = 45°, reemplazamos y queda:
A3 - 45°= 45°, resolvemos y queda:
A3 = 90°,
luego tenemos que tan(A3) es indeterminada, por lo que evaluamos la expresion:
3/k es indeterminada, por lo tanto ello ocurre cuando:
k = 0,
y la ecuación de la recta t queda:
3x - 0y - 2 = 0, que al resolver y despejar queda:
x = 2/3.
Espero haberte ayudado.
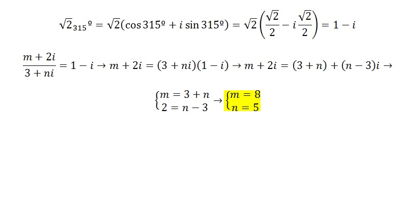
Hola, llevo atrancado con el mismo ejercicio de numeros complejos bastante tiempo, si alguien me pudiese ayudar con el...
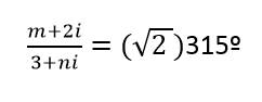
Determinar el valor que han de tener m y n para que se cumpla la igualdad
(m+2i)/(3+ni)=(√(2 ))315º

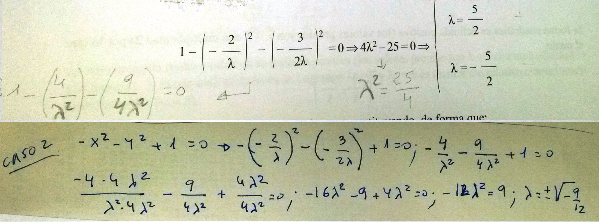
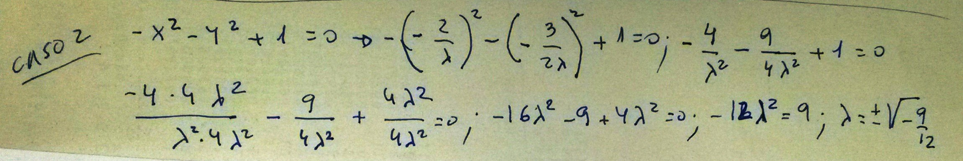
Observa en tu última línea: el denominador del primer término es 4L^4, y es distinto de 4L^2 que es el denominador común de los otros dos términos.
Debes simplificar primero en el primer término, para luego eliminar denominadores comunes, si lo haces la ecuación queda:
-16 -9 + 4L^2 = 0, haces pasaje de términos numéricos, resuelves a la derecha y queda:
4L^2 = 25, haces pasaje de factor como divisor y queda:
L^2 = 25/4, haces pasaje de potencia como raíz y queda;
L = V(25/4), que te conduce a dos opciones distintas:
L1 = -5/2,
L2 = +5/2.
Espero haberte ayudado.
Por favor me pueden explicar este ejercicio? calcular la ecuacion de la recta tangente a y=1/x-1 en el punto de abscisa x=2 Gracias
Necesitas hallar la ecuación de una recta.
El enunciado te dice que es tangente a y = 1/(x-1) en x =2; con esto deduces que la recta pasa por (2, 1) (sustituyendo por x=2)
Por otra parte, para que sea tangente la pendiente deberá ser igual a la derivada de y en x=2.
y' = (1/(x-1)') = [ (x-1)^(-1) ]' = -1 * (x-1)^(-2) = -1/((x-1)^2)
y'(x=2) = -1
Utilizando la ecuación punto-pendiente:
y - 1 = -1 (x - 2)
y - 1 = -x + 2
y = -x + 3
Hola Profe! Como esta?
Tengo muchas dudas sobre el tema de las funciones(estudio gráfico de una función, función de proporcionalidad, funciones lineales )
Es una de las preguntas que siempre aparecen en el examen por eso me preocupa.
Estaré muy agradecida con usted si podría ayudarme.
Saludos
Hola,
alguien me puede ayudar a entender porque mi ecuacion de segundo grado no da lo que deberia -dentro del rectangulo superior- ?
lo he intentado de dos formas, simplificando al dividir numerador y denominador antes de hacer la raiz, y tampoco entiendo porque esto da resultados diferentes.
En esta formula hay que poner el valor absoluto de b, o con su signo? ?
ayuda

Obsrva que no has desarrollado bien la expresión (indicamos lambda como L):
(-78 - L)^2 = (-78)^2 + (-L)^2 + 2*(-78)*(-L) = 6084 + L^2 + 156L
luego, la ecuación polinómica cuadrática queda:
L^2 + 156L + 5760 = 0
Luego, la fórmula resolvente queda:
L = ( -156 +- V( 156)^2 - 4*1*5760 ) )/(2*1), luego:
L = ( -156 +- V(24336 - 23040) ) / 2, luego:
L = -156 +- V(1296) )/2, luego:
L = (-156 +- 36)/2, luego tenemos dos opciones:
L1 = (-156+36)/2 = -120/2 = -60
L2 = (-156-36)/2 = -192/2 = -96.
Espero haberte ayudado.