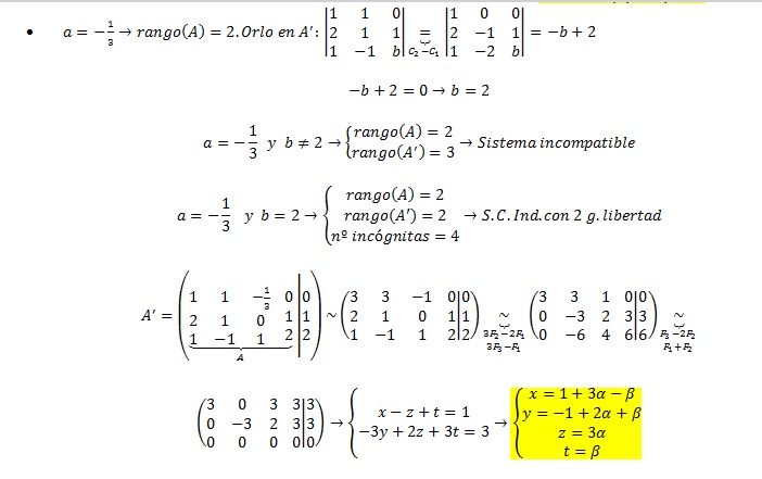
Buenas tardes, llevo unos días con este ejercicio y no consigo darle solución ya que creo que no utilizo los métodos apropiados, tengo una duda sobre un sistema de ecuaciones en función de los parámetros a y b, mi duda es al resolverlo, el enunciado del ejercicio es el siguiente:
Ejer: Clasificar y resolver el siguiente sistema de ecuaciones en función de los parámetros a y b;
x +y +az =0
2x +y +t =1
x -y +z +2t = a
Agradecería mucho vuestra ayuda ya que tengo el examen el día uno de septiembre y estoy algo saturado con todo lo demás.
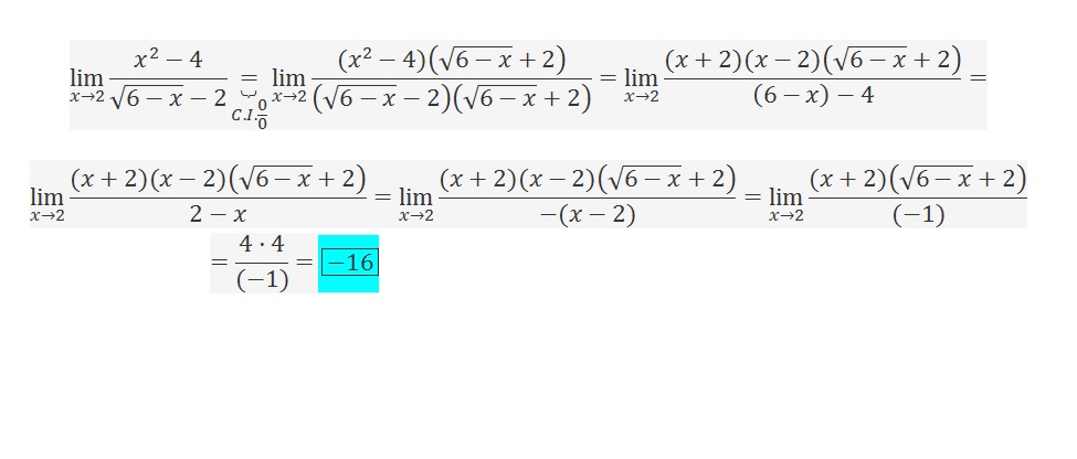
Holaa, estoy dando los límites y me dan lim x-2 de (x^2 -4/ (√6-x) -2) y no se como despejar la raíz (solo está dentro de esta el 6-x) elevó todo el denominador al cuadrado para despejar? Pero cuando tenga x es el resultado final del de abajo?
Hola unicoos alguien podria ayudarme con este ejercicio? Estoy muy atascado y no me sale al tener el logaritmo
f(x)=x²ln(x)
f´(x)=2xln(x)+x, si f´(x)=0 => x(2ln(x)+1)=0 => x=0 y (2ln(x)=-1 ln(x)=-1/2 x=1/√e f(1/√e)=1/(2e)
Derece entre 0, 1/√e pues la f´(x)<0 y crece indefinidamente entre 1/√e,∞ , pues f´(x)>0
f"(x)=2 ln(x)+3
si x=1/√e f"(x)=2 ln(1/√e)+3>0 hay un minimo en ese punto
si x=0 no hay ni max ni min
La recta tg es y-yo=m(x-xo) con xo=√e.
f(√e)=e/2
m=f´(√e)=2√e la recta por tanto es y-e/2=2√e(x-e/2)
Necesito ayuda con el Teorema de Green.
el ejercicio me pide verificar teorema de green para el disco D con centro (0,0) y radio R y las funciones P(x,y)=xy^2 Q(x,y)=-yx^2

Observa que puedes simplificar "la raíz cúbica de 5 elevado a la sexta":
(3V)(5^6) = 5^(6/3) = 5^2.
Observa que puedes factorizar 25 = 5^2.
Luego, la expresión queda:
V( 5 * 5^2 ) * (4V(( 5^2 * V(5) ) =
observa que podemos distribuir la raíz cuadrada en el primer factor, y también podemos distribuir la raíz cuarta en el segundo factor, porque sus argumentos son productos, lo hacemos y queda:
V(5) * V( 5^2 ) * (4V)( 5^2 ) * (4V)( V(5) ) =
observa que podemos simplificar en el segundo factor y en el tercero, y que podemos multiplicar los índices de las raíces ya que tenemos una raíz cuarta cuyo argumento es una raíz cuadrada, lo hacemos y queda:
= V(5) * 5 * V(5) * (8V)(5) =
observa que podemos agrupar las ráices cuadradas de 5, lo hacemos y queda:
= ( V(5) )^2 * 5 * (8V)(5) =
observa que podemos simplificar en el primer factor y queda:
= 5 * 5 * (8V)(5) =
resolvemos los factores racionales enteros y llegamos a:
= 5^2 * (8V)(5).
Espero haberte ayudado.