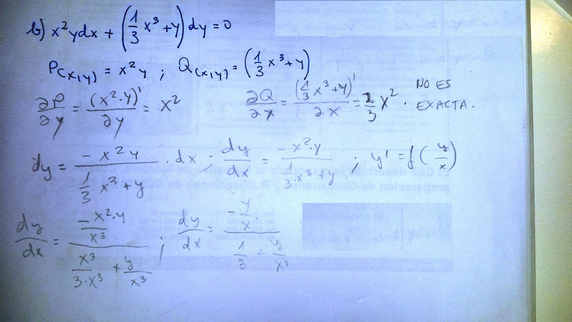
hola, subo una ejercicio del cual no he entendido la respuesta, pues me dicen que es ec. dif exacta, pero segun las derivadas parciales no lo es. alguien me ayuda por favor?
luego estoy tratando de resolverla como homogenea pero no se seguir,...
como se resolveria? mil gracias

Observa que has errado al derivar la función Q con respecto a x:
dQ/dx = (1/3)*3x^2 = 1x^2 = x^2 = dP/dy.
luego, para encontrar la expresión de la función f integramos parcialmente:
f = Integral Pdx = (1/3)x^3 * y + A(y)
f = Integral Qdy = (1/3)x^3 * y + (1/2)y^2 + B(x)
Luego, la solución general implícita queda
(1/3)x^3 * y + (1/2)y^2 = C.
Espero haberte ayudado.
Hola unicoos,
una pregutna sobre el funcionamiento del foro. los comentarios que hacemos a las respuestas que nos dan los unicoos a nuestras consultas, no los ven?
una vez que valoras ya no se responden los comentarios por algun motivo?
por que tengo varias consultas asi...a medias
muchas gracias
Hola. ¿Podríais ayudarme con este ejercicio por favor?
Tenemos dos bolsas A y B, con las siguientes composiciones.
A: 4 bolas blancas y 6 bolas rojas
B: 3 bolas blancas y 5 rojas
Se elige una bolsa al azar y se sacan 2 bolas de ella. Si de las dos bolas extraídas ninguna es roja, halla la probabilidad de que la bolsa escogida sea A.
Gracias.

Observa que puedes aplicar propiedades:
Producto de potencias con bases iguales: a^p * a^q = a^(p+q)
División de potencias con bases iguales: a^p : a^q = a^p / a^q = a^(p-q).
Observa que en ambas divisiones, tienes todas las expresiones factorizadas.
En la primera (llamémosla A):
A = ( a * b^(-3) ) / ( a * b^4) = ( a / a ) * ( b^(-3) / b^4) = a^(1 - 1) * b^(-3 - 4) = a^0 * b^(-7) = 1 * (1 / b^7) = 1 / b^7.
En la segunda (llamémosla B):
B = ( a^4 * b * b^(-2) ) / ( a^2 * b^(-3) * a ) = ( a^4 * b^(1 + (-2)) ) / ( a^(2 +1) * b^(-3) ) = ( a^4 * b^(-1) ) / ( a^3 * b^(-3) ) =
= ( a^4 / a^3 ) * ( b^(-1) / b^(-3) ) = ( a^1 ) * b^(-1 - (-3)) = a * b^2.
Es conveniente que vayas siguiendo y haciendo todos los pasos, ya que hemos aplicado propiedades de las potencias en todos ellos.
Espero haberte ayudado.
Hola!! otra pregunta mas de probabilidad son los apartados c) y d) del ejercicio 2
Muchisimas gracias de verdad!
se pide determinar la imagen y preimagen de estos conjuntos respresentados en las graficas. son dos. el tema es COMPLEJOS:
la de la cfa me mata. no entiendo muy bien podria ser 1+i el complejo determinado?
gracias de antemano.