
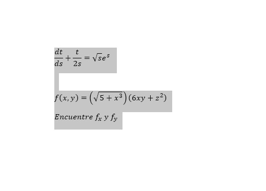
Observa que la ecuación diferencial del primer ejercicio es lineal, de primer orden y de primer grado, con la forma:
dt/ds + P(s)t = Q(s),
donde
P(s) = 1/(2s)
Q(s) = V(s) * e^s.
Luego planteamos:
Integral -P(s)ds = (-1/2)Integral (1/s)ds = (-1/2)lns,
Integral P(s)ds = (1/2)Integral (1/s)ds = (1/2)lns.
Luego, la solución será:
t(s) = e^(-1/2)lns * (Integral e^(1/2)lns * V(s) * e^s * ds + C)
operamos con exponenciales y logaritmos y queda:
t(s) = (1/V(s)) * (Integral V(s) * V(s) * e^s + C)
luego
t(s) = (1/V(s)) * (Integral s * e^s + C)
observa que la integral puede resolverse por partes, lo hacemos y llegamos a:
t(s) = (1/V(s)) * ( (s - 1) * e^s + C).
En el segundo ejercicio
observa que tratamos con una función con variables x e y, por lo que deberás verificar en tus apuntes si z representa a una constante, o a una función de x e y
Luego, para realizar las derivadas parciales, observa que tenemos un producto de dos funciones:
U = (5 + x^3)^(1/2), cuyas derivadas parciales son:
Ux = (1/2)*(5 + x^3)^(-1/2) * 3x^2
Uy = 0
V = 6xy + z^2, cuyas derivadas parciales son:
Vx = 6y + 2z*Zx (observa que si z es constante tendremos Zx = 0)
Vy = 6x + 2z*Zy (observa que si z es constante tendremos Zy = 0).
Ya tienes todo lo necesario para plantear las derivadas parciales de la función
Espero haberte ayudado.
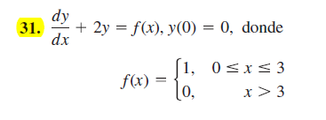
Hola unicoos que tal, me podrian ayudar por favor con ecuaciones diferenciales, no entiendo muy bien este ejercicio.
Para f(x)=1 no tuve problemas para hallar la solución general, pero sí tuve problemas para hallar con f(x)=0, me dijeron que debo hallar el límite para hacerla contínua, pero no lo entendi
Me echan un cable por favor, os necesito.

Si ya has resuelto para la primera rama, has encontrado que la condición inicial y(0) = 0 nos conduce a la función cuya expresión es:
y = 1/2 - (1/2)e^(-2x)
Observa que podemos tomar el límite para x tendiendo a 3 por la izquierda y nos queda (observa que el límite es directo):
Li = 1/2 - (1/2)e^(-6).
Luego, planteamos la ecuación diferencial para la rama derecha:
dy/dx + 2y = 0, separamos variables y queda:
dy/y = -2dx, integramos y queda:
ln|y| = -2x + C
compenemos con la función exponencial inversa de la logarítmica y queda
y = e^(-2x + C), observa que también puede escribirse:
y = e^(-2x) * e^C, observa que e^C = K es una constante arbitraria, por lo que escribimos:
y = Ke^(-2x);
luego tomamos el límite cuando x tiende a 3 por la derecha (observa que es un límite directo) y queda:
Ld = Ke^(-6).
Por último, para establecer continuidad en x = 3 (observa que 3 pertenece al subdominio de la primera rama) igualamos los límites laterales:
Ld = Li, reemplazamos y queda
Ke^(-6) = 1/2 - (1/2)e^(-6), luego dividimos en todos los términos por e^(-6), operamos y llegamos a:
K = (1/2)e^6 - 1/2.
Por lo tanto, la solución particular para y(0) = 0 de la ecuación diferencial del enunciado será la función continua en x = 3 cuya expresión es:
1/2 - (1/2)e^(-2x) con 0 <= x <= 3
y =
( (1/2)e^6 - 1/2)e^(-2x) con x > 3
Espero haberte ayudado.
Me podriais ayudar con este ejercicio porfavor:
Demostrar que la ecuación 1 +2x + 3x^2 + 4x^3 = 0 tiene una única solución real y localizar un intervalo de longitud 1 que la contenga
Porfavor es que no tengo ni idea de nada, no se ni como empezar
Me podrían ayudar con este ejercicio, yo avance una parte por sistemas tomando primero dos y después con el otro para poder así encontrar su ecuación ; pero no llego a nada.

Puedes comenzar por desarrollar el determinante por su primera fila e igualar a cero.
Luego, puedes resolver es sistema de dos ecuaciones lineales de primer grado con dos incógnitas formado por la segunda y la tercera ecuación, aplicando la regla de Cramer.
Finalmente, puedes sustituir todo en la tercera ecuación, y queda demostrada la igualdad.
En el planteo de los determinantes, hemos aplicado propiedades: extracción de un factor común, y permitación de columnas.
Te envío una foto.
Espero haberte ayudado.
Buen día Unicoos
Algun experto en el tema me podria brindar su ayuda y conocimiento. Quiero hallar el área de la curva x³+y³-xy=0 ( Hoja de descartes), no se si me rectángulo genérico me conviene tenerlo en posición horizontal o vertical. ¿Y como despejo una variable (x o y)?
Necesito que alguien me guie, en la utlima evaluación me caí feísimo, saque 2.5/10 , me dieron una nueva oportunidad, he buscado videos, pero no hay de curvas parecidas a estas.
De antemano le agradezco al colaborador
Gracias
Att: "El Toby"
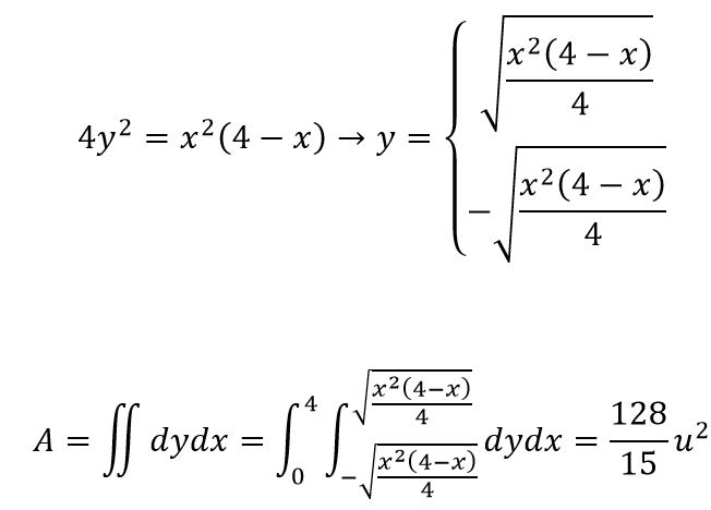
Hola amigos de unicoos, es ruego extrema ayuda por favor cuento con un tiempo finito para estudiar Constante de integración, Áreas, Volumen y longitud de arco.
En esta ayuda que pido debo encontrar el área del lazo 4y²=x²(4-x)
Sol. 128/15 u²
Buen día Unicoos,
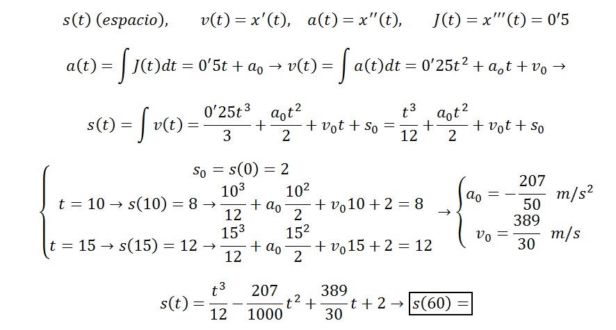
Tengo una duda con respecto a este ejercicio de sacudida, si me pueden ayudar, sería perfecto, gracias :). Mi duda es acerca de las constantes de integración, cómo saber CUAL DE LAS CONDICIONES que el enunciado plantea utilizar para cada constante. De nuevo muchas gracias :)
Dice así:
"Podemos definir la sacudida como la derivada de la aceleración con respecto al tiempo. Si la sacudida de una partícula viene dada por J(t): 0.5 m/s^3 , encuentre la posición luego de haber transcurrido un minuto, si se sabe que su posición inicial es 2mt, luego de 10 segundos se encuentra 8 mt, y 5 segundos después ha avanzado 4 mt más"