Hola Unicos!!. Me pueden ayudar por favor, tengo una duda con el siguiente ejercicio, la consigna es hallar la derivada, pero tengo dudas en cuanto a al derivar (2-x)^2, la derive como -2x-4, esta bien?
Gracias
Antonio Garcia, Me quedo una duda sobre una repuesta tuya el dia de ayer.
En la pregunta que decia "b) Si T: R^5--> R^8 es una trans. lineal, entonce el valor maximo posible plara la dim(Im(T))=....."
por qué sabe que la nulidad debe ser mayor o igual a cero? .
Porque si yo tengo T:R^7-->R^4 y me preguntasen cuales el valor maximo posible para la dim(Im(T))?. Si yo supongo que la nulidad es mayor o igual a cero. No se cumpliria que 0≤ρ≤4; ρ=rango.
Ya que:
Dim V-ρ= nulidad
7-0=7
7-1=6
7-2=5
7-3=4
7-4=3.
Y por esto se que 3≤nulidad≤7 (esto es lo que tengo como resultado en mi carpeta), por lo tanto ρ≥4, para q la nulidad sea 0.
Esta bien suponer que ρ puede estar entre, 0≤ρ≤R^(menor grado)???
Perdon por las molestias pero esto me ha vuelto un loco.

La nulidad de una transformación lineal es la dimensión de su núcleo. Y el núcleo es un subespacio del espacio de partida.
El rango de una transformación lineal (o de sum matriz) es la dimensión de su imagen. Y la imagen es un subespacio del espacio de llegada.
Entonces, si T:R^n→R^m, se tiene:
0≤dim(Nu(T))≤n
0≤dim(Im(T))≤m
n=dim(Nu(T))+dim(Im(T))
Con estas tres relaciones numéricas puedes responder a todas estas cuestiones.
Hola David. Perdona que insista pero algunos videos no se pueden ver .Al pinchar sobre ellos pone lo siguiente : 0 videos y duracion 0:00 . Concretamente en relacion con MATEMATICAS de 1 ESO serian los referentes a: Numeros naturales,Circunferencias y circulos,Poligonos perimetros y areas,Estadistica y probabilidad. De 2 ESO: Cuerpos geometricos,Areas de cuerpos geometricos. De 3 ESO: Movimientos en el plano,Cuerpos geometricos, Estadistica, Probabilidad. De 4 ESO: Proporcionalidad y porcentajes, Geometria analitica,Figuras planas y cuerpos geometricos,Iniciacion a la derivada,Semejanza. De 1 Bachiller: Probabilidad.
Respecto a QUIMICA serian los siguientes: De 3 ESO Quimica en accion. De 4 ESO Compuestos del carbono. De 2 Bachiller Relatividad de los compuestos organicos.
Nuevamente te reitero mi agradecimiento por tu labor.
Hola Unicoos!! Podrían ayudarme a terminar este ejercicio?
El enunciado es el siguiente: " Halle bases y dimensión del núcleo y la imagen de la siguiente transformación lineal e indique las ecuaciones que cumplen cada uno de ellos".
cómo me quedaría la base del núcleo?? porque lo que puse al final no sé si es correcto o no..... se agradece la ayuda.!
cómo me quedaría la base del núcleo?? porque lo que puse al final no sé si es correcto o no..... se agradece la ayuda.!">
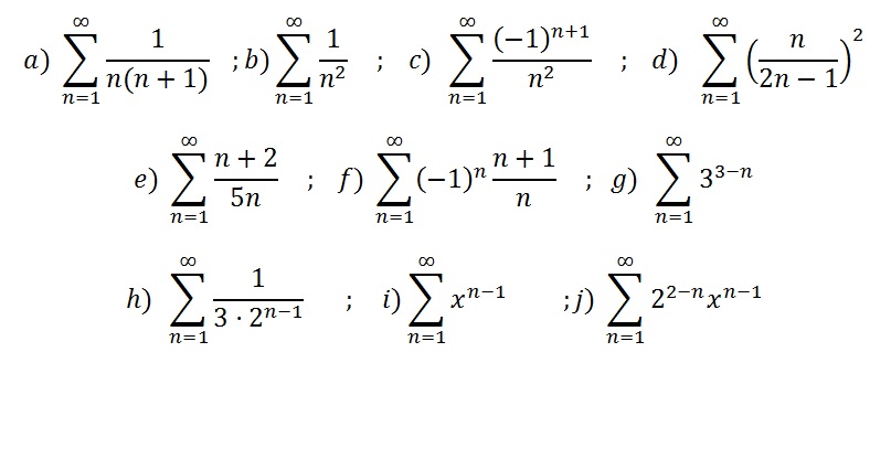
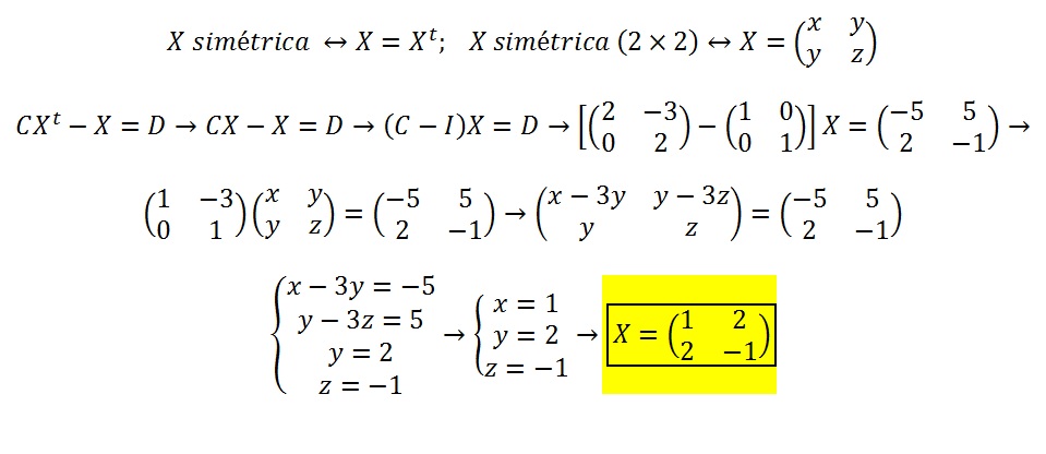
Buenas noches! Tengo este ejercicio de matriices..
La duda es si se hace mediante sistemas de ecuaciones o de otra forma. Y si es por sistemas, como deberia plantear la matriz x simetrica? gracias de antemano..
Hola. ¿Me ayudan con este ejercicio? Sea A perteneciente a R^(5x4) de rango 3, la dimensión del conjunto solución del sistema A X=0 es....
¿Hay algún libro, pagina, vídeo que me recomienden para aprender bien el tema de las dimensiones el rango de problemas como el anterior?
Gracias

Si A es 5x4, entonces el sistema homogéneo AX=0 tiene cinco ecuaciones y 4 incógnitas. Si el rango de A es 3, entonces hay 4-3 =1 grados de libertad (un parámetro). Por ello, el espacio de soluciones tiene dimensión 1.
Algebra Lineal y alguna de sus aplicaciones (GOLOVINA, Editorial Mir)
Hola me podrían sacar esta duda conceptual.
Los operadores de divergencia y rotacinal siempre están dados en las coordenadas cartesianas xyz ( posición), representan la posición de partículas,no podrían estar en función del tiempo ?
Cuán me dicen que un campo vectorial es UNIFORME a que se refiere?
Gracias
Alguien me ayuda estaba intentando con el teo del calculo como me recomendaron mis profes pero, me dicen que la F´(X)= f(x).2 y no entineod porque.
alguien me ayuda con los pasos para resolver.
GRacias a todos.