Foro de preguntas y respuestas de Matemáticas

logo beUnicoos
Los foros de unicoos se han unificado en nuestra nueva plataforma beUnicoos. Para dejar nuevas preguntas deberás hacerlo allí, donde además podrás encontrar nuevas asignaturas y herramientas para ayudarte más con tus estudios.

  • icon

    Isabel Pizarro Calero
    el 13/5/16

    Hola, me podeis decir si esta bien hecho el ejercicio. Gracias

    replythumb_up0 voto/sflag
    icon

    Antonius Benedictus
    el 13/5/16

    La operación fdinal de fracciones está mal hecha.

    thumb_up1 voto/sflag
    icon

    Javier
    el 13/5/16

    Hola Isabel, te has equivocado en algún cálculo.

    No entiendo de dónde sale el 1875.

    A mí, ((125/3)+15)-((8/3)+6)=48.

    Un saludo.

    thumb_up1 voto/sflag
    icon

    Francisco Gutiérrez Mora
    el 13/5/16

    Isabel, te lo envío hecho. Un Saludo.

    thumb_up2 voto/sflag
  • icon

    Erick Cadenas
    el 13/5/16

    Hola unicoos! Quisiera que me ayuden en el tema de Integrales y todo lo relacionado con eso, porfavor! La semana que viene tengo mi ultimo parcial de matemáticas y solo me queda eso! Espero me puedan ayudar! Gracias!

    replythumb_up0 voto/sflag
    icon

    Antonius Benedictus
    el 13/5/16

  • icon

    Maria Laura
    el 13/5/16

    Hola como andan? Alguien podría darme una pista de como empezar el ejercicio 5 la parte a) ? Lo estuve pensando y no me doy cuenta.


    Muchas gracias.


    Saludos.


    :)


    replythumb_up0 voto/sflag
    icon

    César
    el 13/5/16

    Te va la pista María
    te recomiendo estos videos Geometría analítica

    thumb_up0 voto/sflag
  • icon

    Adriana Fernández
    el 13/5/16

    hola Unicoos,estaba realizando un ejercicios de posiciones relativas con las soluciones pero en la parte donde hay que sustituir las incógnitas por los puntos el sistema de ecuaciones no me da como en la solución. He intentado muchas veces pero sigue sin darme el mismo resultado de la pag.
    Podrían ayudarme por favor?
    me estoy volviendo loca con este ejercicio.


    muchas gracias y saludos!!

    replythumb_up0 voto/sflag
    icon

    César
    el 13/5/16

    Mirate este video en el que lo hace David
    https://www.youtube.com/watch?v=5bvA9Q8yTPE

    thumb_up0 voto/sflag
  • icon

    Maximiliano
    el 13/5/16

    Hola. Tengo que encontrar "a" y "b" reales que verifiquen la igualdad de numeros complejos, pero la verdad no logro darme cuenta.... Desde ya muchas gracias...
    2a+3bi-b+ai=2-i

    replythumb_up0 voto/sflag
    icon

    César
    el 13/5/16

    (2a-b)+i(a+3b)=2-i planteamos el sistema
    (2a-b)=2
    i(a+3b)=-i resolviendo
    a=5/7 , b=-4/7

    thumb_up1 voto/sflag
  • icon

    Toby
    el 13/5/16

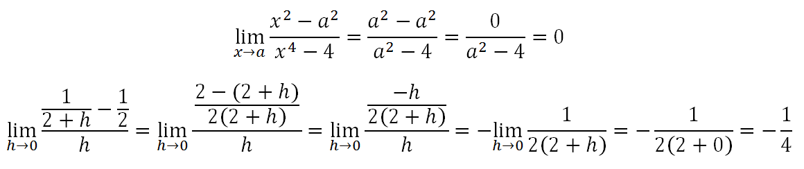
    Hola que tal maestros de unicos. Les pido ayuda con la composición de la función seno,. ¿Cómo puedo hallar el límite? . Me sé las propiedades de los límites de la suma y resta, cociente y producto.
    Pero la c no se como hacerle. Brindenme un momentomde ayuda maestro de unicoos. Gracias de antemano a uestedes.

    replythumb_up0 voto/sflag
    icon

    Luis Cano
    el 13/5/16

    Es la función coseno, no seno. Pero bueno, te dejo la solución en la imagen:

    thumb_up0 voto/sflag
  • icon

    Sandy Murillo S...
    el 13/5/16

    Hola equipo unicoos, me podrian de por favor ayudarme xon estos límites, ya voy a finalizar limites y veremos derivadas para ver luego integrales, por favor ayudenme con los dos últimos ejercicios, les pido muy estimada y respetuosamente vuestra ayuda amigoos unicoos. Mil gracias por su ayuda el agradezco un montonanazo. Saludos.

    replythumb_up0 voto/sflag
    icon

    Luis Cano
    el 13/5/16

    Como no especificas a cuales últimos te refieres supongo eran el "f" y el "h", ojala y te sirvan :)

    thumb_up0 voto/sflag
  • icon

    Axel Morales Piñón.
    el 13/5/16

    ¿Qué se cumple para que el cuadrilátero tenga un ángulo recto? me he atorado una manita unicoos:-(

    replythumb_up0 voto/sflag
    icon

    César
    el 13/5/16

    Supongamos que tiene angulos rectos
    del cuadrilatero tenemos las siguientes relaciones:
    a²=4R²-d²
    b²=4R²-c²
    c²=4R²-b²
    d²=4R²-a² , sumando
    (a²+b²+c²+d²)=4R²-d²+4R²-c²4R²-b²4R²-a² → (a²+b²+c²+d²)=16R²-(a²+b²+c²+d²) → (a²+b²+c²+d²)=8R²
    Necesariamente debe tener angulos rectos.
    En el caso de sus diagonales perpendiculares tendriamos
    a²=b²=c²=d²R²+R²=2R²→ (a²+b²+c²+d²)=8R²
    se cumple en ambos casos

    thumb_up1 voto/sflag
  • icon

    pili
    el 13/5/16

    Hola! me podriais ayudar con esta ecuaciones con dos incógnitas que no consigo sacar= x+y=-8 ; -x+y= 2
    Gracias!!!

    replythumb_up0 voto/sflag
    icon

    Rodrigo
    el 13/5/16

    x+y=-8
    -x+y=2
    queda asi
    2y=-6
    y=-3
    entonces
    x+(-3)=-8
    x=-8+3
    x=-5

    thumb_up1 voto/sflag
  • icon

    Tomoharu
    el 13/5/16
    flagflag

    Buenas,tengo un ejercicio que me pide pasar 〖10〗^log⁡〖(x^2+y^3 )^4 〗 (x^2+y^3 )^(-4)-3ye^x=arco(sen(y+x))+e^(ln⁡(1+xy)) de implicito a explicito (despejar y) pero llego a un punto muerto en donde no puedo hacer nada mas y y no queda despejada...el ejercicio tambien indica que la es posible que no se pueda pasar de una forma a otra...pueden ayudarme por favor?

    replythumb_up0 voto/sflag
    icon

    David
    el 13/5/16

    Lamento de todo corazon no poder ayudarte, pero unicoos (por ahora) solo llega hasta bachiller. Tu duda se da en la "uni". Espero lo entiendas...

    thumb_up1 voto/sflag