Foro de preguntas y respuestas de Matemáticas

logo beUnicoos
Los foros de unicoos se han unificado en nuestra nueva plataforma beUnicoos. Para dejar nuevas preguntas deberás hacerlo allí, donde además podrás encontrar nuevas asignaturas y herramientas para ayudarte más con tus estudios.

  • icon

    Andrea Jacqueline
    el 12/5/16

    Hola. Tengo menudo lío con esta indeterminación. Estuve haciendo ruffini, pero no me da cero :(

    replythumb_up0 voto/sflag
    icon

    Javier
    el 12/5/16

    Hola Andrea,

    en una indeterminación de 0/0 a mí me gusta hacer l'Hopital: Derivar el numerador, derivar el denominador y calcular de nuevo.
    EDITO: Fíjate que tienes mal los cálculos. Tienes que 2*(-2^3)=-64, es -16; y -4*(-2)^2=64, y es -16 también. Esto ya no te da indeterminación 0/0 si no k/0. En este otro tipo de indeterminación debes calcular los límites laterales, que te saldrán -inf, +inf o que no tiene límite.
    Si ambos son iguales tiene límite, si no, no tiene límite.

    Un saludo.

    thumb_up1 voto/sflag
    icon

    Andrea Jacqueline
    el 12/5/16

    Mil gracias Javier,

    thumb_up0 voto/sflag
    icon

    Javier
    el 12/5/16

    Nada, para eso estamos

    thumb_up0 voto/sflag
  • icon

    samah
    el 12/5/16

    alguien me puede ayudar para resolver este integral

    replythumb_up0 voto/sflag
    icon

    Antonius Benedictus
    el 12/5/16

    Sí, Samah:

    thumb_up1 voto/sflag
    icon

    samah
    el 13/5/16

    Mil gracias Antonio !!!

    thumb_up0 voto/sflag
  • icon

    Nathalia Cano Jensen
    el 12/5/16

    Hola, alguien me puede ayudar con el planteamiento (y solucion para luego corregir) de este problemas, gracias.

    Un grupo de amigos organiza una excursión, para ello alquilan una guagua
    que les cuesta 540 € en total. Como a última hora se apuntaron 6
    compañeros más, cada excursionista tuvo que pagar 3 € menos. Calcula el
    número de amigos que fue a la excursión.

    replythumb_up0 voto/sflag
    icon

    Antonius Benedictus
    el 12/5/16

    Te ayudamos; Natalia:

    thumb_up0 voto/sflag
  • icon

    Argenis Briceño
    el 12/5/16
    flag

    buenas me pueden ayudar con este ejercicio de derivadas a simplificarlo al maximo por favor

    replythumb_up0 voto/sflag
    icon

    David
    el 13/5/16

    ¿y tu duda es?...

    thumb_up0 voto/sflag
  • icon

    Dioni Santana Gonzalez
    el 12/5/16

    como se calcula la grafica de valores

    replythumb_up0 voto/sflag
    icon

    César
    el 12/5/16

    Ejemplo concreto Dioni

    thumb_up0 voto/sflag
  • icon

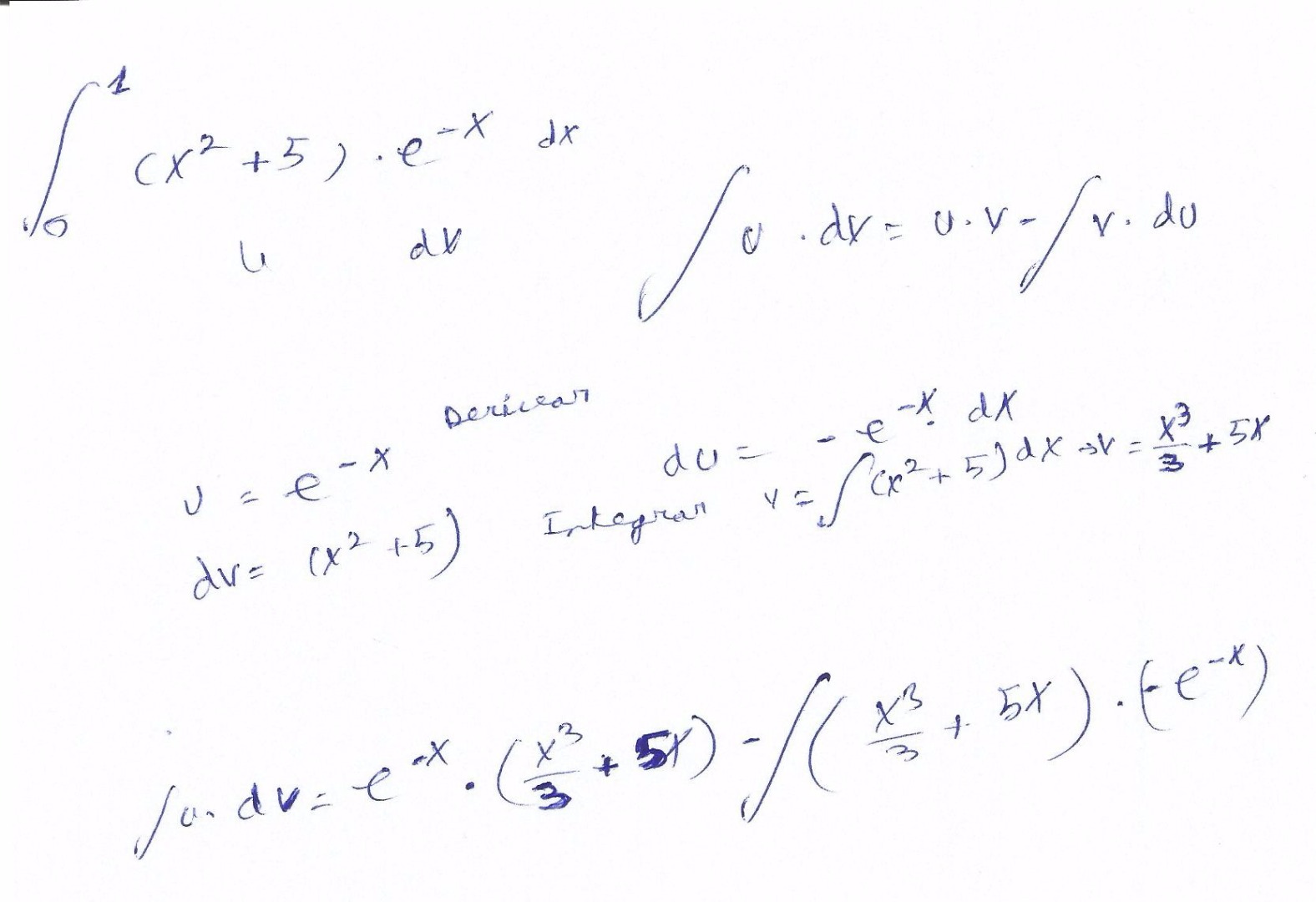
    Gaussiano
    el 12/5/16

    Hoola! No sé cómo hacer esta integral, lo intenté pero me quedé en la fórmula. Gracias!

    replythumb_up0 voto/sflag
    icon

    Antonius Benedictus
    el 12/5/16

    Hay que llamar u al polinomio.
    Te cuento la regla ALPES (preferencia para llamar "u"):
    1ª A (arcsin, arccos, arctan)
    2ª L (logaritmos)
    3ª P (polinomios)
    4ª E (exponenciales: e^x, 2^x,...)
    5ª S (senos, cosenos,...)

    thumb_up2 voto/sflag
    icon

    Gaussiano
    el 12/5/16

    Ah ok, ya he cambiado u y dv, y aplicando de nuevo la fórmula de la integración por partes, me queda: (x^2+5).-e^-x - ∫-e^x . 2x ¿Cuál sería la integral de -e^x.2x? Gracias

    thumb_up0 voto/sflag
    icon

    Luis Cano
    el 12/5/16

    Esa ultima también se debo de hacer por partes tomando nuevamente a "u" como el polinomio y a "dv" como la exponencial.

    thumb_up1 voto/sflag
    icon

    Axel Morales Piñón.
    el 13/5/16

    Te la mando si no he metido la patita, solo queda evaluar... :-)

    thumb_up1 voto/sflag