Foro de preguntas y respuestas de Matemáticas

logo beUnicoos
Los foros de unicoos se han unificado en nuestra nueva plataforma beUnicoos. Para dejar nuevas preguntas deberás hacerlo allí, donde además podrás encontrar nuevas asignaturas y herramientas para ayudarte más con tus estudios.

  • icon

    Alex Domínguez
    el 8/5/16

    Como puedo continuar con mi ejercicio ? Gracias, de verdad, compañeros/profesores

    replythumb_up0 voto/sflag
    icon

    Guillem Sanz Liarte
    el 8/5/16

    haz la integral del -cosx el -2 lo pudes sacar para fuera pq esta multiplicando(eso creo)
    espero que te ayude!

    thumb_up1 voto/sflag
    icon

    Alex Domínguez
    el 8/5/16

    Es verdad, las constantes pueden salir fuera, muchas gracias tio !!!

    thumb_up0 voto/sflag
    icon

    Guillem Sanz Liarte
    el 8/5/16

    de nada :)

    thumb_up0 voto/sflag
    icon

    Hugo
    el 8/5/16

    Parece que vas bien, nada mas como sugerencia es conveniente que uses otra letra cuando integraste de nuevo, ya lo tienes, saca la constante y el menos, te queda 2 ∫cosx dx y eso ya es mas sencillo.

    thumb_up0 voto/sflag
    icon

    Alex Domínguez
    el 8/5/16

    Vale, gracias de nuevo jaja

    thumb_up0 voto/sflag
  • icon

    Jonathan
    el 8/5/16

    Hola, simplemente querría saber cuando se da la situación de discontinuidad evitable, gracias de antemano

    replythumb_up0 voto/sflag
    icon

    Antonius Benedictus
    el 8/5/16

    ,Cuando el valor esperado (o límite) por la izquierda coincide con el valor esperado por la derecha. Esto es, la función tiene límite en dicho punto, pero su valor auténtico, bien no existe (agujero), o bien es distinto del valor esperado (agujero con "punto desplazado").

    thumb_up1 voto/sflag
    icon

    Jonathan
    el 8/5/16

    Muchísimas gracias :)

    thumb_up0 voto/sflag
    icon

    Antonius Benedictus
    el 8/5/16

    Cuando el valor esperado (o límite) por la izquierda coincide con el valor esperado por la derecha, esto es, la función tiene límite en dicho punto, pero su valor auténtico, o bien no existe (agujero), o bien es distinto del valor esperado (agujero con "punto desplazado").

    thumb_up1 voto/sflag
  • icon

    Alex Domínguez
    el 8/5/16

    Hola amigos, a ver si me podeis ayudar con la integral, creo que está mal pero no se donde está el fallo

    replythumb_up0 voto/sflag
    icon

    Antonius Benedictus
    el 8/5/16

    La última integral está mal hecha. Has de hacerla aparte por partes y encajar el resultado en el proceso.

    thumb_up0 voto/sflag
    icon

    Alex Domínguez
    el 8/5/16

    De acuerdo, muchas gracias, voy a ello, entonces esta es una cíclica ?

    thumb_up0 voto/sflag
    icon

    Antonius Benedictus
    el 8/5/16

    No vuelve a salir la misma, si a eso te refieres.

    thumb_up0 voto/sflag
    icon

    Alex Domínguez
    el 8/5/16

    me da la integral de -cox x 2 , pero no se como volver a llevarla al planteamiento de la integral inicial, y ese dos que me queda ( el de la flecha ) no se si multiplicarlo por el coseno, vuelvo a enviar una foto

    thumb_up0 voto/sflag
  • icon

    Sebástian
    el 8/5/16

    Hola de nuevo, ayudenme x fa si me he equivocado en las siguientes afirmaciones..
    a.) Si p(x) es un polinomio, entonces la función f(x) definida por f(x)=p(x)/(x-1) tiene una asíntota vertical en x=1 (V)
    b.) La gráfica de una función racional tiene al menos una asíntota vertical. (V)
    c.) Las funciones polinomicas no tienen asintotas verticales. (V)
    d.) Si f tiene una asíntota vertical en x=0, entonces no está definida en 0. (V)
    Gracias de antemano.

    replythumb_up0 voto/sflag
    icon

    Antonius Benedictus
    el 8/5/16

    a) Puede ser falso si p(x)=(x-1)·t(x) (o sea, si (x-1) es divisor de p(x))
    b) NO necsariamentre. f(x)=7x/(x^2+1) no tiene.
    c) VALE, ni horizontales ni oblicuas.
    d) Puede definirse en x=0. Por ejemplo:
    f(x)=1/x xi x≠0
    f(0)=0

    thumb_up0 voto/sflag
  • icon

    Toby
    el 8/5/16

    Hola como estaís maestros de unicos, quiero una ayuda con el siguiente problema xq me lío y no logro mucho que digamos.
    ◇El costo en millones de dólares, que le implican a una agencia gubernamental confiscar x% de droga ilegal está determinado por la función
    C(x)=(528x)/(100-x), para 0≤x≤100
    a.) Calcula el costo de confiscar 50%
    b.) Calcula el costo de confiscar 75%
    c.)Determina el límite cuando x tiende a 100 por la izquierda e interpreta su resultado.
    Ayudenme se los pido no son tan hábil en las matemáticas, pero le pondré estusiasmo para aprender y aprobar. Me ayudarían demasiado. Gracias y Saludos. Att: El Toby.

    replythumb_up0 voto/sflag
    icon

    Antonius Benedictus
    el 8/5/16

    a) Halla C(50) sustituyendo x por 50.
    b) Halla C(75) ,, ,, 75.
    c) Ve dando a x valores próximos a 100 ( x=90, x=99, x=99,5,....) ne irás viendo que los valores obtenidos de C(x) son cada vex "inmensamente mayores". De ello deducimos que:
    lim(x→100^-) C(x)=+∞

    thumb_up0 voto/sflag
  • icon

    Sebástian
    el 8/5/16

    Hola chicos de unicos podrían ayudarme con el siguiente problema, si se que pide pero intento hacerlo y no hallo la función:
    Escribe una función racional que tenga asíntotas en x=6,x=2 y un cero en x=3 . Muchas gracias de antemano.

    replythumb_up0 voto/sflag
    icon

    Antonius Benedictus
    el 8/5/16

    f(x)=(x-3)/((x-6)·(x-2))

    thumb_up0 voto/sflag
  • icon

    Nadia
    el 8/5/16

    Hola Profesor .

    quiero que me ayudes a resolver estos dos ejercicios de geometría en el espacio por que los necesito urgente por favor :( :( :( ..

    Gracias .

    replythumb_up0 voto/sflag
    icon

    Antonius Benedictus
    el 8/5/16

    El punto R está mal copiado: ¡Tiene cuatro coordenadas!

    thumb_up1 voto/sflag
    icon

    Javier
    el 8/5/16

    Hola Nadia.
    En el 1 ej. el punto R tiene 4 coordenadas, es imposible calcular nada.

    En el 2 ej.: Yo pasaría la ecuación de la recta a general multiplicando en cruz las igualdades (de 2 en 2) y junto con la ecuación del plano haría Teorema de Rouché-Frobenius para sacar la posición.
    Si NO son paralelos la distancia es 0. Si lo son, pues a tirar de fórmula de distancia de punto a plano (el punto de la recta te lo dan en la ecuación: "x" menos el punto, "y" menos el punto, "z" menos el punto).
    Si son paralelos no hay ángulo que calcular, pero si NO lo son, pues toca tirar de la fórmula de ángulo entre recta y plano.

    Un saludo.

    thumb_up1 voto/sflag
    icon

    Nadia
    el 8/5/16

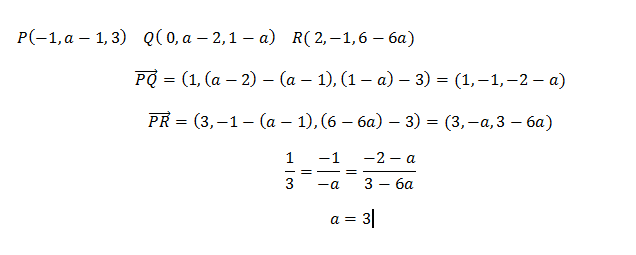
    Si si es verdad , la R = (2,-1,6-6a)... es así
    Muchas gracias Javier y Antonio Benito García por ayudar me
    espero que me ayudéis a resolver el primero también

    thumb_up0 voto/sflag
    icon

    Javier
    el 9/5/16

    a) Cuando tres o mas puntos están alineados sus vectores son proporcionales. Vamos, que tienes que calcular el vector PR y el vector PQ.
    Cuando dos vectores son proporcionales, la división de sus coordenadas debe dar el mismo resultado. Pues nada, cuando tengas calculados los vectores, igualas las divisiones de sus coordenadas.
    Luego solo queda despejar el parámetro "a".

    b) Tienes tres puntos que ahora están alineados y dos vectores. Con un punto y un vector ya puedes sacar la ecuación de la recta. Yo escogería el vector PR.

    Espero no haberme equivocado en algún cálculo que hoy tengo un día tonto...
    Un saludo.


    b) Tienes tres puntos que ahora están alineados y dos vectores. Con un punto y un vector ya puedes sacar la ecuación de la recta. Yo escogería el vector PR.

    Espero no haberme equivocado en algún cálculo que hoy tengo un día tonto...
    Un saludo.

    ">

    thumb_up1 voto/sflag
    icon

    Nadia
    el 9/5/16

    Muchísimas Gracias Javier ... me has ayudado mucho y te lo agradezco de verdad ^^
    Saludos ...

    thumb_up0 voto/sflag
  • icon

    E
    el 8/5/16

    Hola :) Tengo una duda si me piden que compruebe si unos vectores forman base, esos vectores los coloco en forma de matriz y calculo el determinante y por tanto el rango si ese determinante me da diferente de 0 son LI y por tanto forman base?
    Gracias

    replythumb_up0 voto/sflag
    icon

    Antonius Benedictus
    el 8/5/16

    Correcto. Pero esto solo cale para TRES vectores del ESPACIO.

    thumb_up0 voto/sflag
    icon

    E
    el 8/5/16

    Y si fueran otro número de vectores?

    thumb_up0 voto/sflag
    icon

    Antonius Benedictus
    el 8/5/16

    El rango de la matriz que determinan sus coordenadas da el número de ellos linealmente independientes.

    thumb_up0 voto/sflag
  • icon

    Clara Beatriz López Valero
    el 8/5/16

    Hola, tengo que hacer la derivada de : y= (-1/5 )· x^5 + 4x^4 - (1/6) · x^3 + (1/2) · x^2 - 3 ; y no sé como quitar los denominadores. Muchas gracias :D

    replythumb_up0 voto/sflag
    icon

    Deidara Stick.
    el 8/5/16

    Es sencillo, y'=(-1/5)(5). x^(5-1)+4(4).x^(4-1)-(1/6)(3).x^(3-1)+(1/2)(2).x^(2-1)-0
    y'=-x^4+16x³-(1/2)x²+x multiplqiue los exponentes de cada términos por sus respectivos coeficientes.

    thumb_up1 voto/sflag
  • icon

    Deidara Stick.
    el 8/5/16

    Hello unicos, buen día a todos, ayudenme con lo pedido respecto al problema:
    Determina el valor de c, tal que:
    Lím [((x+c)^(1/2))-1]/(x-1)=0.5
    x→1
    Gracias por su ayuda. Saludos.

    replythumb_up0 voto/sflag
    icon

    Antonius Benedictus
    el 8/5/16

    Te ayudamos, Deidara:

    thumb_up0 voto/sflag