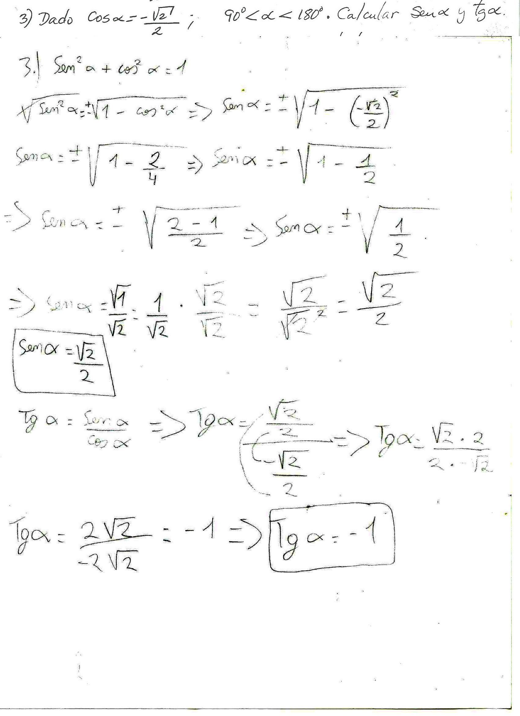
Hola unicos, tengo una duda, cuando leí un ejemplo de serie telescopica ví un ejemplo que explicaba la suma de cuadrados de los n primeros terminos, y otro de la suma de los cubos de los n primeros términos, y en el caso de los cuadrados usan una propiedad algebraica ∑ desde i=1 hasta i=n de
|(i+1)^(4)-¡^4)| . ¿POR QUÉ ESA IDENTIDAD? DE DONDE LA SACO. En los libro solo dice usaremos la igualdad....... pero no dice el xq y se la usa y de donde sale.
¿Si deseo hallar la suma de los cuadrados de los 5 primeros numeros naturales, reemplazo n por 5 en la expresión de la suma de los cuadrados de los n primeros numeros naturales? Si me despejan de esta duda les doy ya gracias.
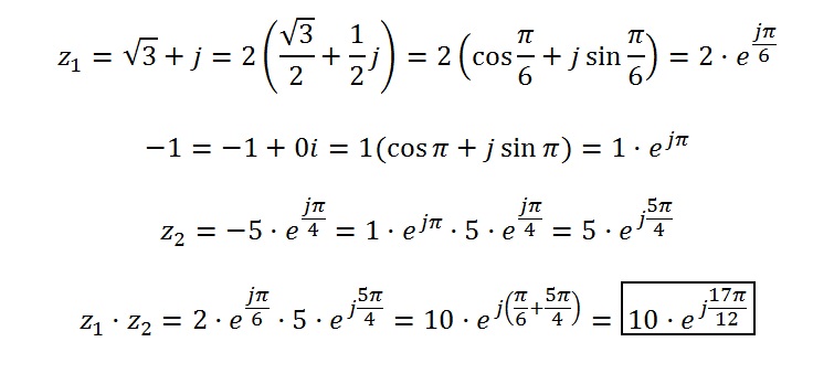
Buenas tardes, un ejercicio de números complejos que me va a volver loco.
El producto de z=z1.z2, siendo z1=√3 + j y z2= -5.e^jpi/4.
He pasado z1 y z2 a las cuatro formas (binómica, polar, trigonométrica y exponencial).
Como es tipo test y los resultados están en forma exponencial paso z1 a exponencial: z1= 2.e^jpi/6
Hago el producto y me da -10.e^j5pi/12
El resultado tiene que dar 10.e^j17pi/12
Saludos y gracias.
Hola chicos de unicoos, puedes ayudarme mostrando estps sin usar L'hopital, o sea usando una circunferencia trigonometrica y emplear algunas propiedades y desigualdades o ecuaciones, sin hacer limite x la derecha e izquierda de las funciones:
Lím (Sen h/h)=1
h->0
y
Lím ((Cos h - 1)/h)=0
h→0
Mi profesora me dijo que lo hagamos x este método. Muchas gracias de antemano.
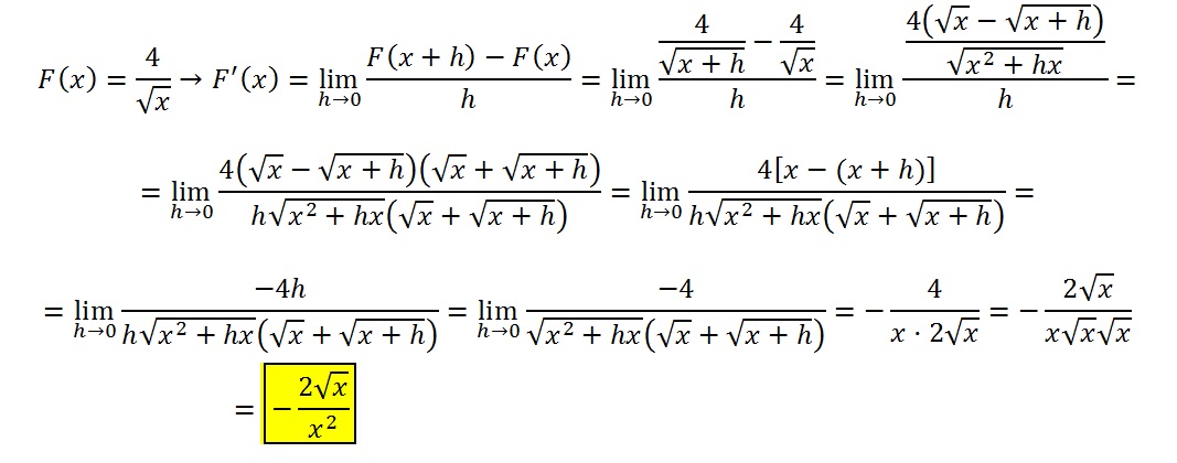
como derivo F(x) = 4/√x usando la definición

Hola Lovelin, si no quieres hacerla co o la derivada de un cociente, puedes cambiar la función por una equivalencia transformando la raíz cuadrada de x como un exponente de 1/2, es decir laa raíz q de n^p=n^(p/q), y la paso al numerado con su exponente de signo contrario, así f(x)=4(x)^(-1/2). Y ahí puedes derivar como la derivada de un producto f'(x)=y'=(4')(x)^(-1/2)+(4)(x^(-1/2))'=4(-1/2)(x^((-1/2)-1)=4(-1/2)(x^(-3/2))=-2/(x^(3/2)) . O puedes tambier hacer la derivada del cociente. Te recomiendo que escargues de internet un buen texto y mira algunos videos de aquí, o investiga en wikipedia ahí se ven cosas intersantes como su aplicación en otras ciencias.
Hola unicoos, ¿podríais echarme un cable con este ejercicio? Vi antes un vídeo de función signo pero no sé si tiene que ver con eso? Muchas gracias, un saludo!

Se trata de una función a trozos, para definirla tienes que ver que funcion se forma a partir de "ciertos x", para tu ejercicio, si, -2 ≤x <1 la función que aparece es f(x)= -2-x , si x≥1 la función que aparece es f(x) = -3 , si , x<-4 esa recta tiene por pendiente 1/2 , si usas la ecuacion punto pendiente ( el punto (-6,-2)) entonces te resulta:
y-(-2) = ½ [ x -(-6) ] --> y+2=½x+3 --> y = ½x +1
Luego si x< -4 la función que se ha graficado es ½x +1
En conclusion si llamamos g(x) a la funcion en general:
y-(-2) = ½ [ x -(-6) ] --> y+2=½x+3 --> y = ½x +1
Luego si x< -4 la función que se ha graficado es ½x +1
En conclusion si llamamos g(x) a la funcion en general:
">![]()
Hola! Podríais subir un vídeo explicando como sacar la gráfica de una función de raíz, como por ejemplo f(x)=3√x−2 (incluyendo el dos dentro del paréntesis). Y al poner un signo negativo ¿qué pasa? como por ejemplo f(x)=−√x−2. Muchas gracias :)