Hola, tengo un problema con esta ecuación: cos2x+6cos(al cuadrado)x=1
No sé que hacer con el 2 del primer coseno, si me pudierais ayudar, gracias.
Tengo una duda sobre matrices si yo cambio dos filas tengo que cambiar todas las filas de todas las columnas?
POR FAVOR , MUY COMEDIDA MENTE PIDO SU AYUDA EN ESTOS EJERCICIOS DEL LITERAL 1 Y 4 PARA UNA PRUEBA FINAL DE UN GRUPO Y NO QUIERO EQUIVOCARME HOY ME DIERON ESTOS EJERCICIOS, QUE PUEDE QUE VAYAN EN EL EXAMEN E RESUELTO ALGUNOS PERO QUIERO AYUDA DE PERSONAS QUE SABEN BASTANTE DEL TEMA PARA MAÑANA NO TENER FALLAS POR FAVOR. ESPERO ME COMPRENDAN Y PUEDAN AYUDAR SEQUE SON DEMASIADOS PERO NO QUIERO FALLAR
En un ej de geometria en 3D me piden que calcule un recta s que corta perpendicularmente a r i que pasa por P y su punto de corte respectivo.
r: x-1/-2=y+1/-3=z/6 i P(5,-2,9)
como r es perpendicular a s he considera el vector director de s (-3,2,0) i que pasa por P. Me queda: s: (x,y,z) = (5,-2,9)+ u(-3,2,0)
Pero luego, al hacer el punto de corte entre s i r me sale que el sistema es indeterminado y no entiendo porque, si pudieras ayudarme... Muchas gracias!
De la recta conoces un punto y su vector director
1. Calcula el plano que pasa por P y es perpendicular a r. Para ello necesitas un punto (que lo tienes) y un vector normal al plano (el de la recta r)
2. Calcula el punto de corte de ambos (plano y recta)
3. Halla la recta que pasa por el punto de corte anterior y P. Esa es la recta buscada.
Hola, para un trabajo de estadistica de Universidad me piden que tengo que hacer un analisis de la regresion de una serie de datos de un estudio que me han dado: "Month, Date, Year, Temperature at time of recording, Maximum temperature, Minimum temperature, Wind strength, Rainfall and Cloud cover" Mes, día del mes, año, temperatura en el momento de ser tomada, maxima temperatura, minima temperatura, fuerza del viente, volumen de precipitaciones y obertura de las nubes.
Un ejemplo de una fila es:(Adjuntado en la imagen).
El problema que para realizar un analisis de regresion, necesitamos saber cual o cuales podrian ser las variables dependientes y cuales las independientes con las que pueda trabajar y analizar más de un caso
Un ejemplo de una fila es:(Adjuntado en la imagen).
El problema que para realizar un analisis de regresion, necesitamos saber cual o cuales podrian ser las variables dependientes y cuales las independientes con las que pueda trabajar y analizar más de un caso
">![]()

No es necesario saber cual es la dependiente o independiente pues puedes obtener dos diferentes rectas de regresión (la de y sobre x, o la de x sobre y).. Te sugiero este video...
Distribucion bidimensional No podría ayudarte mucho más, lo siento...
Hola, no acabo de ver segun el teorema de rocuhe frobenius cuando un sistema es compatible indeterminado no sé que es n

A ver, te lo envío de forma simplificada y sencilla: n es el número de incógnitas.
La condición necesaria y suficiente para que un sistema de m ecuaciones y n incógnitas tenga solución es que el rango de la matriz de los coeficientes y el de la matriz ampliada sean iguales.
r = r' Sistema compatible.
r = r' = n Sistema compatible determinado.
r = r' ≠ n Sistema compatible indeterminado.
r ≠ r' Sistema incompatible.
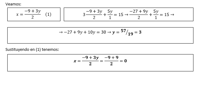
Esta hecha por sustitucion
yo despeje la X de la segunda ecuacion y me dio un resultado muy diferente al que se supone que deberia ser. Me dio Y=12/19 X=207/38
Si alguien podria hacerlo como hice yo y decirme cuanto le da para volverlo a intentar sabiendo ya el resultado porque no encuentro mi fallo