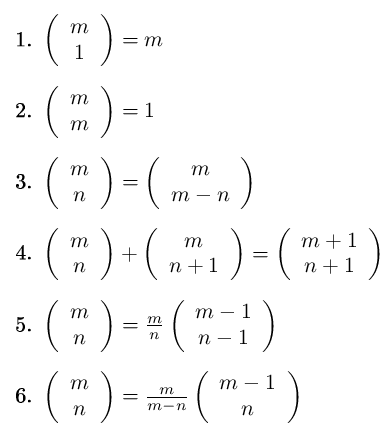
Hola maestros y chicos unicos, buen dia por favor quiero que me ayuden con una material adicional, o que alguien me escriba las propiedades de los factoriales, creo que se dice identidades factoriales , las necesito xq el profe de mi cole nos mandó a consultarlas, estudiarlas y así las usaré en mis deberes de sucesiones y límites. Gracias otra vez maestros unicoos. Saludos. Att: Toby.
Si tengo un sistema compatible indeterminado puedo resolver por Gauss? O obligatoriamente tengo que asignar a una letra el parametro landa?

¿¿?? Hagas o no Gauss la unica forma de resolver un SCI es asignar a una incognita el parametro lambda... Al menos...
Echale un vistazo... Sistema Compatible Indeterminado 01
Hola, aquí nuevamente donde los mejores, los unicoos, jeje, en verdad tengo una problemita que me pone a penaar y dudar, es en la sucesión de Fibonacci, dice así:
■ Determine si es posible hallar una fórmula recurrente para la sucesión de Fibonacci.
■ Determinesi es posible hallar la suma de los primeros n primeros términos de la sucesión de Fibonacci.
■ Determina si es posible encontrar la suma de los cuadrados de los n primeros términos de la sucesión de Fibonacci. Si es así, determina la suma de los cuadrados de los 10 primeros .
Les agradecería esta ayuda un montonananananazo, este es un problema que necesito de para mí tarea de matemáticas. Mil gracias unicoos, le deberé el mundo y todas las estrellas del universo a ese unicoo que me salve de esta emergencia de números. Grazie.

Sí.. La formula es an=an-1 + an-2, siendo an-1 el termino inmediatamente anterior al buscado y an-2 el termino inmediatamente anterior a an-1...
A grandes rasgos, cada temrino se obitene sumando los dos anteriores... 1,1,2,3,5,8,13,21,34...
Para las dos siguientes.... auqí tienes la solucion... https://kovalevskaya.wikispaces.com/sucesion+fibonacci
Me podríais ayudar con este ejercicio?
f(x)=5/(x^2-6x+10) si x≥0
x=decena de días
y=decenas de millones de veces la luz del sol
Realiza un estudio sobre los puntos extremos que presenta.
¿ Para que número de días, a partir del momento en que empiezan a realizarse las observaciones, la supernova alcanza el máximo brillo?

Te toca representar la funcion... O al menos obtener los posibles maximos y minimos...
tendrás que derivar e igualar a 0... Echale un vistazo... Crecimiento y decrecimiento
Hola maestros de unicoos, necesito que me expliquen la exepción de la serié telescópica adjunta en la imagen, y si existen otras exepciones mejor, porque las necesito saber y estudiarlas, y qquisiera que me las expliquen si ea que la haya, aunque tengan que usar multiplicatoria o productorio Π( Pi en mayúscula). Si me facilitan esa ayuda no me tendría palabras por esta enorme ayuda. Muchas gracias y saludos. ATT: Toby.
Hello, µnicoos pido ayuda con estos dos problemas de seleccionar la alternativa correcta, tengo varios de estos problemas, estos de aquí no he podido solucionar, necesito que me expliquen a la vez los pasos o propiedades que aplique, como semejanza, proporcionalidad,.. gracias , agradecería demasiado esta ayudita. Thanks.
Me estoy volviendo loca.. A ver si podés ayudarme.
" tengo el doble de la edad que tenías tu cuando yo tenía tu edad y cuando tengas mi edad,la suma de nuestras edades será 63. Que edad tiene cada uno?
He planteado así: ahora uno X y otro Y
Hace(X-Y) años: uno Y y el otro Y-(X-Y)=2Y-X
Dentro de(X-Y)años : uno X+(X-Y)=2X-Y. Y el otro:Y+(X-Y)=x
Las ecuaciones : X=2(2y-X)
(2X-Y)+X=63. Que está mal?
Sol, tu segunda ecuación es correcta. La primera, también. Date cuenta que según el enunciado el presente es el punto medio temporal de la película que te cuentan. La primera ecuación debe quedarte 3x=4y. Las soluciones son 28 y 21 años. Si no eres capaz de verlo añade una variable temporal: Pasado: x-t, y-t. Presente: x, y. Futuro: x+t, y+t. Después monta con el trabalenguas planteando las ecuaciones y resuelve.

Por un lado, me encantaría ayudarte, pero no respondo dudas universitarias que no tengan que ver específicamente con los videos que ya he grabado como excepcion. Lo siento de corazón… Espero lo entiendas.
Por el otro, si quieres que algún unico se anime a ayudarte, intenta al menos traducir el enunciado al castellano. De otro modo, solo alguién que entienda portugues o gallego (no lo sé) podrá ayudarte. Abrazos!
Hola a todos, quisiera saber si alguno me pudiera por favor colaborar con estos dos ejercicios, se me han dificultado bastante, muchas gracias.

Son ejercicios de optimización que al menos deberías dibujar, intentar plantear... Te sugiero estos vídeos. Echales un vistazo... Optimización
A partir de ahí, se trata de que DESPUES DE IR A CLASE (ver los vídeos relacionados con vuestras dudas) enviéis dudas concretas, muy concretas. Y que nos enviéis también todo aquello que hayais conseguido hacer por vosotros mismos. Paso a paso, esté bien o mal. No solo el enunciado. De esa manera podremos saber vuestro nivel, en que podemos ayudaros, cuales son vuestros fallos.... Y el trabajo duro será el vuestro. #nosvemosenclase Nos cuentas ¿ok?