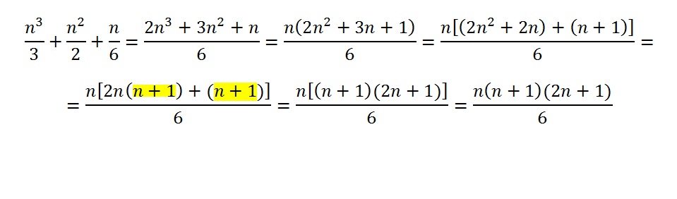
Alguien sería tan amable de decirme que cuentas se hicieron para llegar a la 2da parte, más específicamente en la parte del numerador . Estoy segura de que es una tontería pero no logro darme cuenta de como llego a n(n+1)(2n+1).
hola, alguien me podria ayudar con este ejercicio: sean los planos oblicuos S1: a1X+b1Y+c1Z+d=0 y S2: paralelo al plano coordenado xz que pasa por el punto p=(3,4,5). Entonces las ecuaciones que definen la traza correspondiente a la interseccion de ambos planos son .............................................................
No se como llegar al resultado, S2 al ser paralelo al plano xz --> a=0 B distinto de 0 c=0 o lo que es lo mismo y=k
Si yo reemplazo el punto en el plano y=k ( suponiendo que k es 4) me queda y=4
Pero b.k +d = 0
o es k.Y+d=0
Nose ahi me pierdo. la respuesta seria ax+by+cz+d=0 y Y=4
Pero como llego al y=4
Gracias y perdón pero ni yo entiendo lo que puse estoy confundido.

Veamos, Andrés:
El plano ax+by+cz+d=0 tiene como vector perpendicular (o normal) el vector n=(a,b,c)
Dos planos son paralelos cuando admiten ecuaciones generales con el mismo vectornormal.
El plano OXZ tiene como ecuación y=0, y su vector normal es j=(0,1,0).
Por tanto, el plano pedido tiene la forma: 0x+1y+0z+d=0
Esto es: y+d=0
Como pasa por P(3,4,5):
4+d=0
d=-4
Así pues , es: y-4=0
Esto es: y=4
Hola necesitaría una mano tmb para el ejercicio 35, al menos como plantearlo. Para que sea una función continua tendría que hacer los límites laterales en x--> -1 y 2, igualando ambas ramas (del 1 por izquierda 1 por derecha e igual con el 2) para encontrar a,b y c estoy en lo correcto? Pero como hago para que y=3 sea asintota? Que significa para x---> + infinito.
Hola me piden averiguar el tipo de discontinuidad de esta función, yo se que para hacerlo debo obtener el resultado de los límites laterales am abrir el módulo, pero como resuelvo esos límites si se que ambos me quedarían 0/0. La respuesta dice que es disc. Esencial de salto finito en x=0.
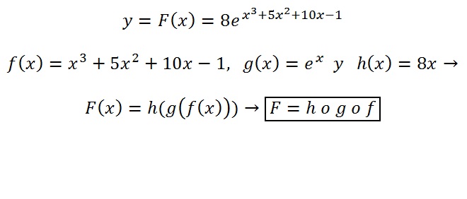
Hola como están? tengo una duda, tengo un par de ejercicios que me pide descomponer funciones y no encontré nada en ningún lado. Si alguien seria tan amable de decirme como se hace esta función y explicarme el procedimiento para poder hacer las demás le agradecería muchísimo .
8e^x^3+5x^2+10x-1
Muchas gracias :)
Hola volvi con otra pregunta.
Muchas gracias por la anterior respuesta, me sirvio mucho para entender el concepto. Ahora tengo este ejercicio que he intentando resolver por mi mismo. Todavía no tengo claro todos los puntos pero creo que estoy en lo correcto.
NUEVAMENTE HOLA PEDI QUE ME RECOMENDARAN ALGUN VIDEO PARA ESTE TIPO DE PROBLEMAS, MUCHOS DE SUS VIDEOS ME HAN AYUDADO MUCHO, YA QUE EL PROBLEMA YA LO TENGO RESUELTO.
MUY AMABLEMENTE DAVID ME DICE QUE ES UN TEMA UNIVERSITARIO, YO ESTOY CURSANDO QUINTO DE SECUNDARIA DE ARGENTINA , AL MENOS ME PUEDEN DECIR CON QUE NOMBRE BUSCAR ESTE TIPO DE EJERCICIOS . PORQUE TENIA ENTENDIDO QUE ERA UNA FUNCION EXPRESADA COMO SUMATORÍA. GRACIAS Y PERDON POR MI INSISTENCIA.
Los sumandos son (4-5), (8-5) , (12-5) ,(16-5)
separandolos tenemos 4,8,12,16 → 4+8+12+16 ... =4(1+2+3+4+....n)=4(½(1+n)n)=2n(n+1)
La otra parte -5 -5-5...--5 =-5n
sumando ambas 2n(n+1)-5n=2n²+2n-5n=2n²-3n donde a=2 y b=-3.
el tema es Universitario, y se sale de la temática de Unicoos,te dejo un link con ejercicios resueltos sobre inducción.
http://profe-alexz.blogspot.com.es/2011/02/demostracion-por-induccion-problemas.html
http://www.luiszegarra.cl/moodle/pluginfile.php/130/mod_resource/content/1/cap3.pdf