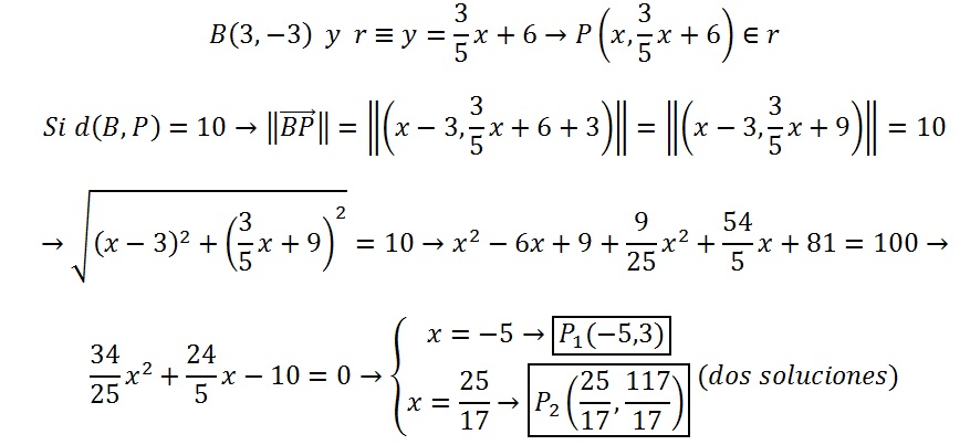
Hola Unicoos!! podrían ayudarme a terminar este ejercicio?? teniendo esta recta: y= 3/5x +6 , tengo que encontrar los puntos P que cumplan con lo que me está pidiendo el ejercicio. Encontré esos dos valores que puse en la hoja al resolver lo de la distancia y sacar su norma... pero no sé cómo hacer lo que me falta.
Se agradece!
Hola unicoos, me podrían ayudar con los números complejos? El ejercicio resaltado en amarillo no puedo resolverlo. Saludos!
Me podrian ayudar con el apartado B i F? Es que no sé como desplazar las columnas para poder realizar el ejercicio.
Hola a todos, quería saber como resolver este ejercicio. Me piden encontrar los puntos críticos de esta función. Por lo que entiendo, debería calcular la derivada de primer orden con respecto a X y la con respecto a Y, luego igualarlas a 0 y encontrar los puntos. No se que estoy haciendo mal pero llego a que 3=1. Alguien podría ayudarme? Aqui les dejo el ejercicio, y adjunto la manera en la que llegue a mi resultado.
F(x,y)= (x^2+3y^2)*e^(1-(x^2+y^2))
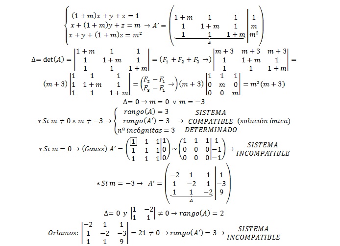
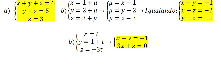
Hola tengo un pregunta sobre un ejercicio el cual no puedo llegar al resultado, es así: CONSTRUYA UN SISTEMA DE ECUACIONES LINEALES NO HOMOGÉNEOS CON LAS SIGUIENTES CARACTERÍSTICAS
a) (1,2,3) sea la solucion
b)(1,2,3) sea una solucion
c) La terna (x,y,z)=(t,1+t,-3t)
muchas gracias...
hola porfavor me podrian ayudar con est ejercicio 2sen2x+senx=1 del tema ecuaciones trigonometricas porfavor

Entonces se hace como en este vídeo, resolviendo la ecuacion de 2º grado... Ecuacion trigonometrica 01
Se trata de que DESPUES DE IR A CLASE (ver los vídeos relacionados con vuestras dudas) enviéis dudas concretas, muy concretas. Y que nos enviéis también todo aquello que hayais conseguido hacer por vosotros mismos. Paso a paso, esté bien o mal. No solo el enunciado. De esa manera podremos saber vuestro nivel, en que podemos ayudaros, cuales son vuestros fallos.... Y el trabajo duro será el vuestro. #nosvemosenclase Nos cuentas ¿ok?