Dadas las bases B1={(5,3,1),(1,-3,-2),(1,2,1)} y B2={(-2,1,0),(-1,3,0),(-2,-3,1)} tengo que calcular la matriz de cambio de base de B1 a B2. Me ha salido lo siguiente:
(-27/5 18/5 -14/5)
(19/5 -21/5 13/5)
( 1 -2 1 )
Alguien me podría confirmar que está bien? No se como se puede comprobar...
Buenos días:
Tengo una duda de estadística. Sean tres sucesos A, B y C; por qué lo siguiente?
Probabilidad de que solo ocurra A
(A n Bº n Cº) = (A-B) n Cº = A-B = A-A n B
Donde n es la intersección y º significa complementario.
Probabilidad de que ocurra por lo menos uno
P(A U B U C) = P(A U B) + P(C)
Gracias.
Hola amigos de unicoos, nuevamente pidiendo vuestra ayuda, como siempre del modo mas sincero que sé, necesito aprender esta parte tan primordial de la trigonómetria, para así poder avanzar y ver geometria en el espacio y calculo.
Dice asi: Deduce la identidad del seno y coseno para la sustracción de dos ángulos, usando la figura adjunta, sin usar la identidad para la adición.
Mil gracias, le deberé un monton a ese amado unicoo que me ayude, intensamente agradecida le estaré. Muchisimas gracias.

La verdad no se si entendí bien la pregunta... pero si quieres identificar sen o cos, sin usar identidades trigonometricas, lo que tienes que tener en claro e. que el sen=cateto opuesto/ hipotenusa y el cos= cateto adyacente/hipotenusa
Ejemplo: sen(beta)=b/c
Y el cos(beta)=a/c
Pd: el cateto opuesto es el lado del triángulo que no está tocando al ángulo con el que estas trabajando, en el ejemplo era beta por eso es b el cateto opuesto
El cateto adyacente es el lado más corto de los que toca el ángulo con el que estas trabajando. El más largo es la hipotenusa.
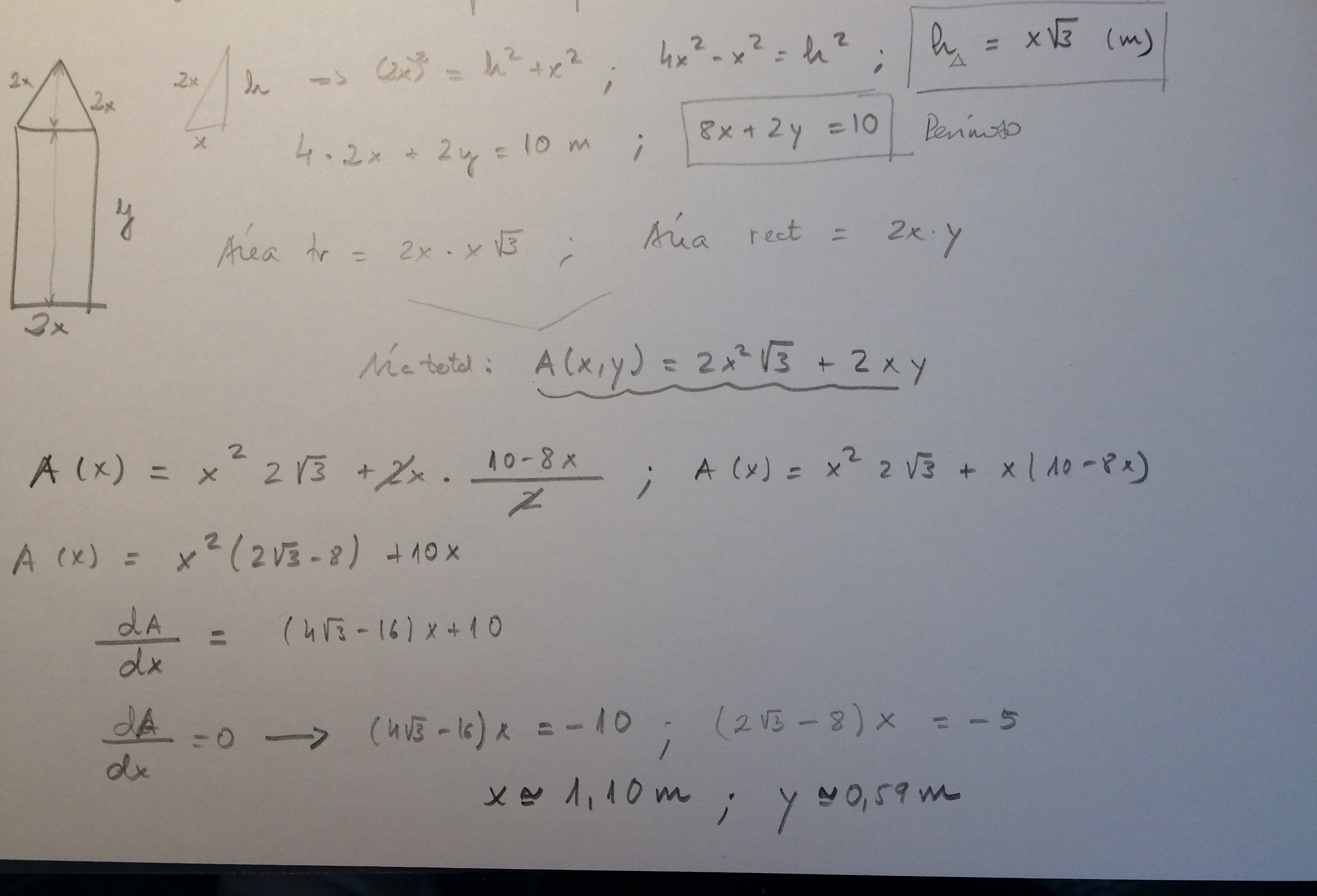
Problema de optimización: Se quiere construir, con unas finas láminas de metal, una ventana para formar una vidriera, pero con un diseño especial. La ventana que se ha diseñado está formada por un rectángulo, con un triángulo equilátero sobre él. Se dispone de 10 metros de metal para hacer el perímetro de la ventana ¿cuáles serán las medidas de la ventana para que el área encerrada sea máxima?
Pista: te aconsejamos que, en lugar de considerar que la base sea x (por ejemplo), la tomes como 2x, para que al calcular la altura del triángulo equilátero no trabajes con fracciones.
Hola , es un problema de optimización. me pide que optimice la función f(x,y)=2x+y
sujeto a x+y = 0
. x+y = 0
. x²+y² ≤ 4
La representación grafica la entiendo lo que no se hacer es calcular el máximo ni el mínimo
gracias
De un litro de aceite lo reparto en 3 máquinas de la siguiente manera: 1/4 litro, 3/8 litro y 250cc. ¿Cuánto sobró en la botella ?
Hola buenas noches. Tengo una duda respecto a como graficar las siguiente función aplicando transformaciones horizontales, Sen(3x-1) hasta donde comprendí en clases grafico el seno, luego lo muevo 1 hacia la derecha. Hasta ahí todo bien mi problema es con la contracción de la grafica y donde queda cada vértice de las mini parábolas que se forman en Y+ e Y- por así decirlo. Creo que el primer vértice de la contracción se saca del despeje de 3x-1=0

Hola amigo. Traslada esa grafica unidad a la derecha tal y cual como te han enseñado, para hallar los vertices como tu le dices, y como tu te complicas en la contraacion, temdrias que saber que toda funcion trigonometrica es periodica, en el caso de f(x)=Sen x su periodo es 2π, y en el caso de f(x)=Sen(3x-1) el periodo 2π/3 , para que hagas el esbozo lo mejor posible, iguala a 0 y resuelve como una ecuacion, la solcuion o raiz será el intercepto en el eje y, tambien dale el valor de x=0 para que puedas hallar los puntos de intercepcion con el eje x, incluso puedes hallar dos expresiones para todo los puntos máximos y mínimos. El problema es que el -1 esta en unidades centesimales , comunmente se usa radiades o los grados para facilitar el trabajo pero tambn se puede así ahi tienes que cambiar el modo a tu calcu cuando la uses. Vale. Espero haber ayudado en algo. Cdt bye.
Hola!!
De este ejercicio tengo hechas la ate a y la b. La unica que me costó es la C que no se donde aplicarle el impuesto.
Se que generalmente es en la oferta, pero no sé esta vez donde!!
Gracias..