Foro de preguntas y respuestas de Matemáticas

logo beUnicoos
Los foros de unicoos se han unificado en nuestra nueva plataforma beUnicoos. Para dejar nuevas preguntas deberás hacerlo allí, donde además podrás encontrar nuevas asignaturas y herramientas para ayudarte más con tus estudios.

  • icon

    Luis Eduardo
    el 13/4/16
    flagflag

    Funciones cuadraticas AYUDAA :(
    |Determinar el tipo de curva
    5z^2 +10x=4y

    replythumb_up0 voto/sflag
    icon

    David
    el 13/4/16

    ! Me encantaría ayudarte, pero no respondo dudas universitarias que no tengan que ver específicamente con los videos que ya he grabado como excepcion. Lo siento de corazón… Espero lo entiendas

    thumb_up0 voto/sflag
    icon

    Luis Eduardo
    el 13/4/16

    :(

    thumb_up0 voto/sflag
    icon

    antonella
    el 13/4/16

    Esa es la grafica pero no entiendo a que te refieres con tipo de curva , aver tu dime algunos tipos de curva

    thumb_up0 voto/sflag
  • icon

    Alfredo Méndez
    el 13/4/16

    Chicos saludos, ayuda con esta pregunta por favor !!!

    replythumb_up0 voto/sflag
    icon

    antonella
    el 13/4/16

    Bueno capaz hay otra forma de hacerlo =)

    thumb_up0 voto/sflag
  • icon

    Alfredo Méndez
    el 13/4/16

    Hola chicos alguien podría ayudarme con esta pregunta, ya me he quebrado la cabeza pero no me sale. Gracias !
    Aquí les adjunto la imagen, está un poco pequeña espero logren apreciar.

    replythumb_up0 voto/sflag
    icon

    antonella
    el 13/4/16

    Aca te dejo la resolucion paso a paso :
    https://es.symbolab.com/solver/indefinite-integral-calculator/%5Cint_%7B4%7D%5E%7B9%7D%20%5Csqrt%7B1%2B%5Cfrac%7B1%7D%7B4x%7D%7D%20dx/?origin=suggestion

    thumb_up0 voto/sflag
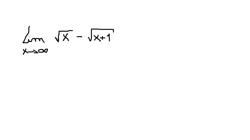
  • icon

    Victor Javier Venegas Pezo
    el 13/4/16

    Hola, tengo una consulta. Como resuelvo este limite?

    replythumb_up0 voto/sflag
    icon

    antonella
    el 13/4/16

    Seria asi =)

    thumb_up1 voto/sflag
    icon

    Victor Javier Venegas Pezo
    el 14/4/16

    Muchas gracias!

    thumb_up0 voto/sflag
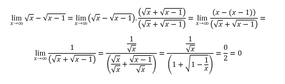
  • icon

    yousra
    el 13/4/16

    estaría bien?

    replythumb_up0 voto/sflag
    icon

    antonella
    el 13/4/16

    Si quieres puedes operar los resultado yo lo deje asi !!!

    thumb_up0 voto/sflag
  • icon

    yousra
    el 13/4/16
    flag

    de una progresión aritmética conocemos su diferencia= -5 y A10= 31
    a. calcula su primer termino
    b.calcula su termino general
    c. calcula la suma de los diez primeros terminos

    replythumb_up0 voto/sflag
    icon

    antonella
    el 13/4/16

    Va yousra =)

    thumb_up0 voto/sflag
    icon

    David
    el 13/4/16

    Te vendrán bien... Progresiones aritméticas

    thumb_up0 voto/sflag
  • icon

    yousra
    el 13/4/16

    estaría bien hecho ???

    replythumb_up0 voto/sflag
    icon

    antonella
    el 13/4/16

    Esta Bien yousra !!!

    thumb_up1 voto/sflag
  • icon

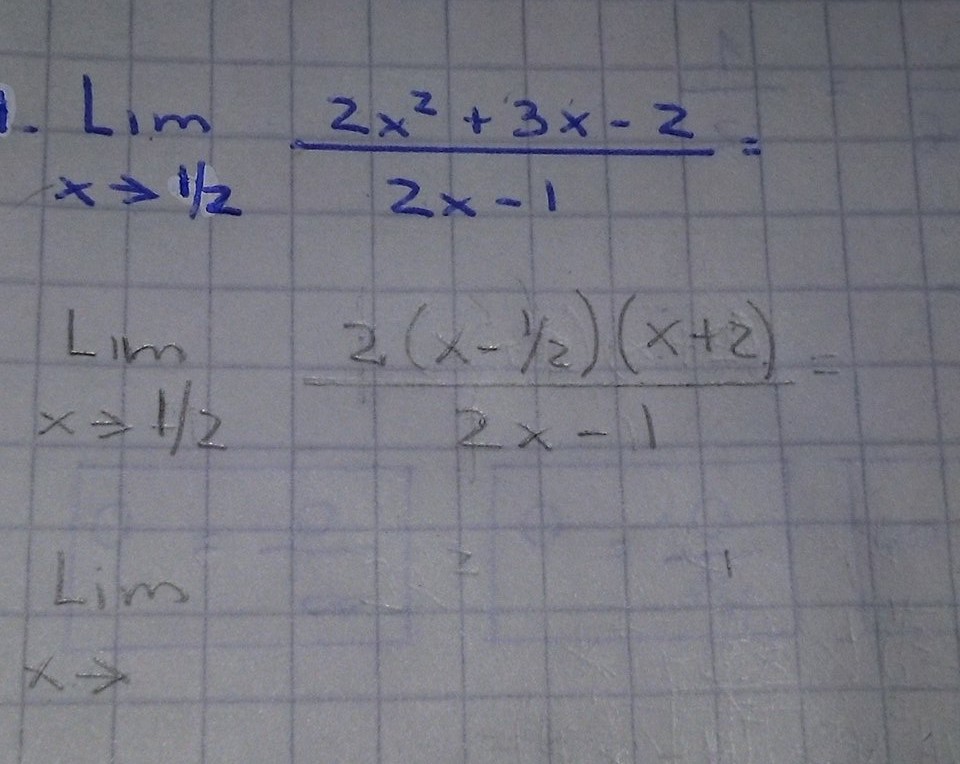
    Nicolás Peralta
    el 13/4/16

    esta bien resuelto este limite?? tengo dudas con el denominador..

    replythumb_up2 voto/sflag
    icon

    antonella
    el 13/4/16

    Esta Bien resuelto Felicitaciones =)

    thumb_up1 voto/sflag
    icon

    Eduard Ortegón
    el 13/4/16

    hay una forma mas sencilla creo q se llama l'hopital o algo asi buscala sera de gran ayuda.....

    thumb_up1 voto/sflag
  • icon

    Nicolás Peralta
    el 13/4/16

    Como resuelvo este limite?? el resultado es 5/2

    replythumb_up0 voto/sflag
    icon

    antonella
    el 13/4/16

    tienes en el denominador (2x-1) solo factoriza el 2 :
    (2x-1)=2(x-1/2) asi podras simplificar el factor (x-1/2)

    thumb_up1 voto/sflag
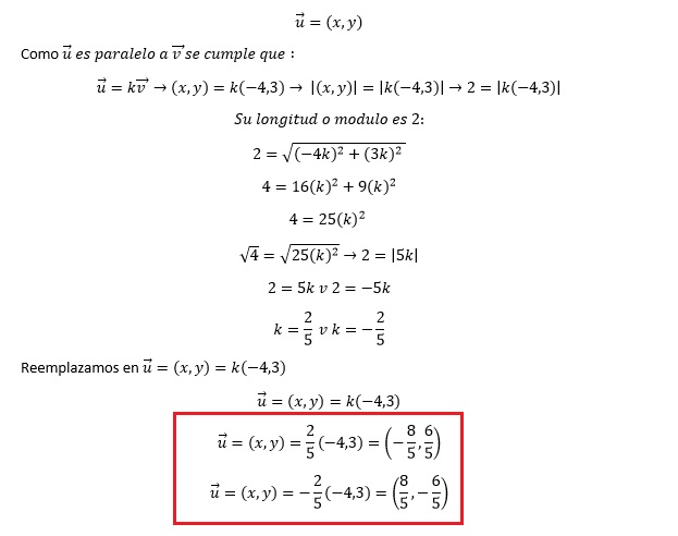
  • Usuario eliminado
    el 13/4/16

    Hola Unicoos!! Tengo una consulta con este ejercicio que les adjunto..

    la parte que me estaría complicando es que tiene que ser de longitud 2. lo resolví como si fuera un vector unitario, pero no sé cómo hacerlo para que sea de longitud 2 y a la vez , paralelo al vector dado. Me podrían decir qué es lo que me está faltando o qué tengo que corregir?? Gracias!

    replythumb_up0 voto/sflag
    icon

    antonella
    el 13/4/16

    Va Aracelli.

    thumb_up0 voto/sflag

    Usuario eliminado
    el 14/4/16

    Muchas gracias! ahora lo entendí

    thumb_up0 voto/sflag