Hola! Me ayudáis con este ejercicio de cónicas :
Calcula el lugar geométrico de los puntos del plano que equidistan del punto F(1,0) y de la recta r=4x+3y=0.
Gracias!
hola,
Muchas gracias por tus vídeos. Suelo consultarlos y me parecen claros, sencillos de entender y a su vez rigurosos,
por ello me he animado a formar parte de este foro.
Os agradecería que me ayudarais a expresar la siguiente función valor absoluto como función definida a trozos.
La solución que hemos considerado como correcta en clase es justo la opuesta a la que a mi sale y no termino de entenderla.
F(X)= 2 l-2x+2l +2
La solución que yo creo correcta seria:
2(2x-2) +2 =4x -2 para x >1
2(-2x+2) +2 = -4x+6 para x
hola...
una pregunta con respecto a este ejercicio...
podrían ayudarme a resolverlo...
Suponga que una pelota se deja caer desde la cubierta superior de observación de la Torre CN de Toronto, 450 m sobre el suelo. Encuentre la velocidad de la pelota después de 5 segundos.
como se plantearía la ecuación de espacio en función del tiempo

Tu ejercicio es de fisica... h=ho+vo.t+(1/2).a.t²...h=450-4,9t²
Por otro lado v=vo+a.t... v=-9,8.t... Echale un vistazo.. FISICA Caida libre 02
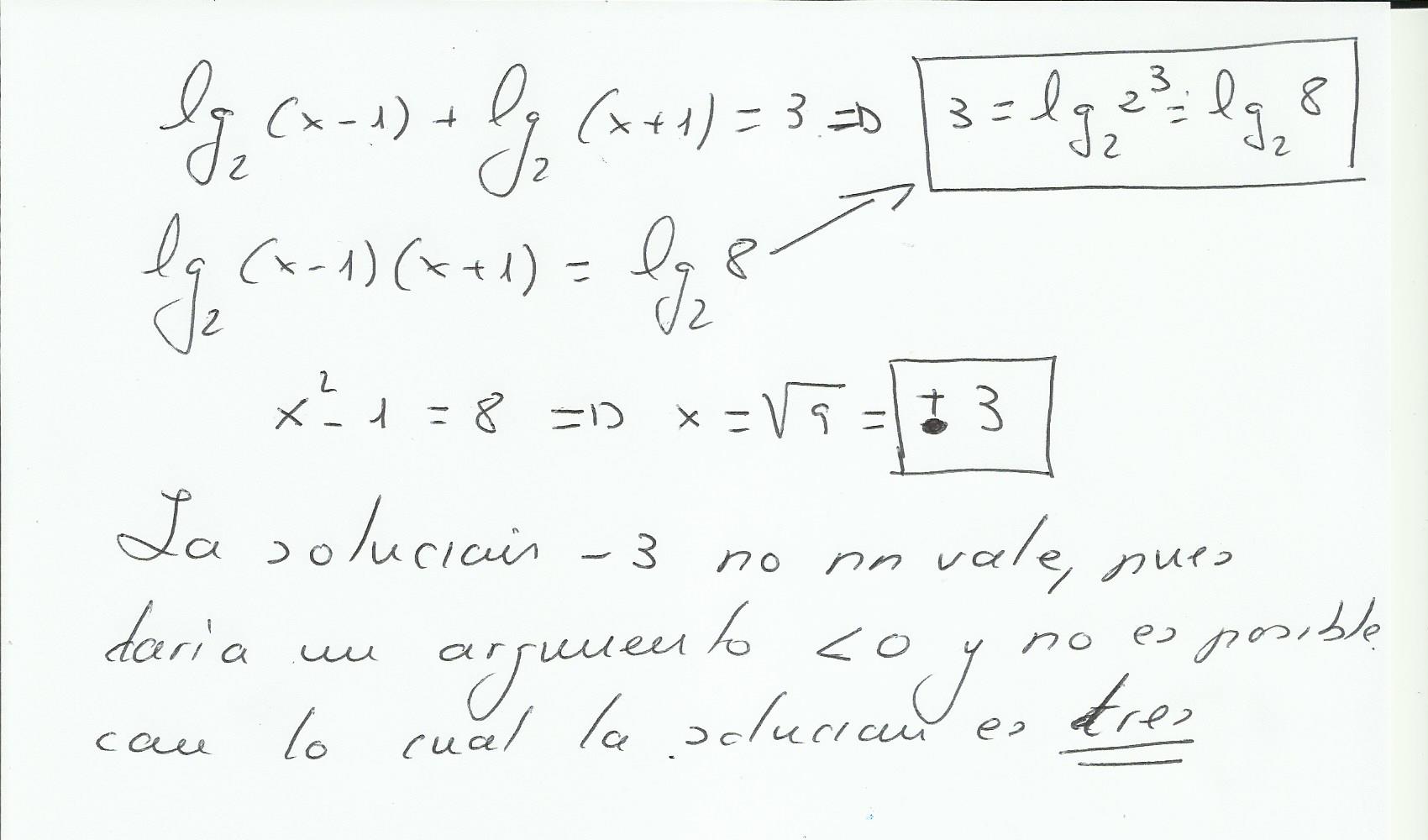
Hola a todos, me ayudarían con este ejercicio? no puedo sacar el elemento fila 1 columna 3 de la matriz A^n. Entiendo que es el anterior numero + n, pero no se como ponerlo. Y luego para demostrarlo parto de n=k y lo pruebo para n=k+1 y listo, no? Graciass! Saludos
hola, buenas noches. tengo una duda sobre este problema, me dice lo sigueinte: que dia es? asumiendo que no se trata de un año bisiesto (366) ¿ que dia del año indicara la hoja ( almanaque de hojas) cuando el numero de hojas arrancadas exceda en 2 a los 3/5 del nuemero de hojas que quedan??.
yo supuse que era sí pero creo que no estoy bien:
x= cantidad de hojas a arrancar
x=(3/5)(365-x)+2
el planteamiento esta correcto? gracias!