Foro de preguntas y respuestas de Matemáticas

logo beUnicoos
Los foros de unicoos se han unificado en nuestra nueva plataforma beUnicoos. Para dejar nuevas preguntas deberás hacerlo allí, donde además podrás encontrar nuevas asignaturas y herramientas para ayudarte más con tus estudios.

  • icon

    Fernando
    el 11/4/16

    Hola me ayudan con los complejos .
    Sen (z) - a = 0
    ( Exp(z) -1 )^3 =1
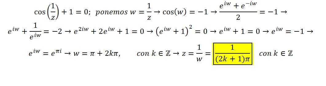
    Cos(1/z)+1=0
    Gracias

    replythumb_up0 voto/sflag
    icon

    Antonius Benedictus
    el 11/4/16

    Fernando, las ecuaciones de variable compleja se salen del ámbito de esta página. Te mando la última:

    thumb_up0 voto/sflag
  • icon

    andres
    el 11/4/16

    Hola, buen día. no se como encarar este problema de cónicas en r3: Hallar el lugar geometrio de los puntos cuyas distancias al plano yz son el doble de las correspondientes al punto (1,-2,2 )

    replythumb_up0 voto/sflag
    icon

    César
    el 11/4/16

    A ver si lo interpreto correctamente
    d(Pxy)=1 el plano xy-> x=0, luego el lugar geométrico de los puntos cuya distancia es 2 es el plano x=2

    thumb_up0 voto/sflag
  • icon

    ;-D
    el 11/4/16

    Se considera un arco de circunferencia de 10 cm de radio y distancia cordal 10√3 cm. Inscribir dentro del arco un rectángulo de área máxima.

    replythumb_up0 voto/sflag
    icon

    Antonius Benedictus
    el 11/4/16

    Espero que sea así, Eme.Interpreto "distancia cordal" como longitud de la cuerda.

    thumb_up1 voto/sflag
  • icon

    Manuel
    el 11/4/16

    Buenas, quería pedir un favor que tiene que ver con las matrices de adyacencia, he encontrado un ejercicio de examen que te pide saber todas las características sobre el grafo sin poder dibujarlo (si es pseudo-grafo, multigrafo y demas... decir si es un grafo regular o no) y quisiera saber como detectar cuando es cada cosa, muchas gracias un saludo.

    replythumb_up0 voto/sflag
    icon

    David
    el 12/4/16

    Me encantaría ayudarte, pero no respondo dudas universitarias que no tengan que ver específicamente con los videos que ya he grabado como excepcion. Lo siento de corazón… Espero lo entiendas

    thumb_up0 voto/sflag
  • icon

    Oscar
    el 11/4/16

    Muy buenas tengo un ejercicio de Algebra modular que ayer no fui capaz de resolver y vengo buscando ayuda. Hay que despejar la x:
    30x = 1 (mod 307)

    replythumb_up0 voto/sflag
    icon

    David
    el 1/6/16

    Me encantaría ayudarte, pero no respondo dudas universitarias que no tengan que ver específicamente con los videos que ya he grabado como excepcion. Lo siento de corazón… Espero lo entiendas

    thumb_up0 voto/sflag
  • icon

    Mauricio Medina
    el 11/4/16

    Hola buenas noches qusiera saber si em podrian ayduar con esats ecuaciones diferenciales que debo resolver por metodo de sustitucion;

    a) yy''+(y')^2=0 **En esta la debo resolver por el metodo donde no aparece x , y creeo la sustituciones son las siguientes: y'=u, y''=(du/dy) u
    Entonces segun yo la ecuacion qeudaria de la manera siguiente:

    y(du/dy)(u)+u^2=0 pero de alli no se que metodo utilizar para poder resolverla o que procedimiento seguir.

    B) xy''+y'=4x En esta ED ahora no aparece "y" entocnes segun yo la sustitucion seria y'=u, y''=u',
    entonces la ecuación quedaría:
    xu'+u=4x y de alli yo supuse que se deberia dividir todo sobre x para despejar u' y que me quedara :

    u'+u(1/x)=4

    Espero y me puedan ayudar con estas ecuaciones de verdad de antemano mucas gracias

    replythumb_up0 voto/sflag
    icon

    César
    el 11/4/16

    Va esa ayuda Mauricio

    thumb_up0 voto/sflag
  • icon

    Ivan
    el 11/4/16
    flag

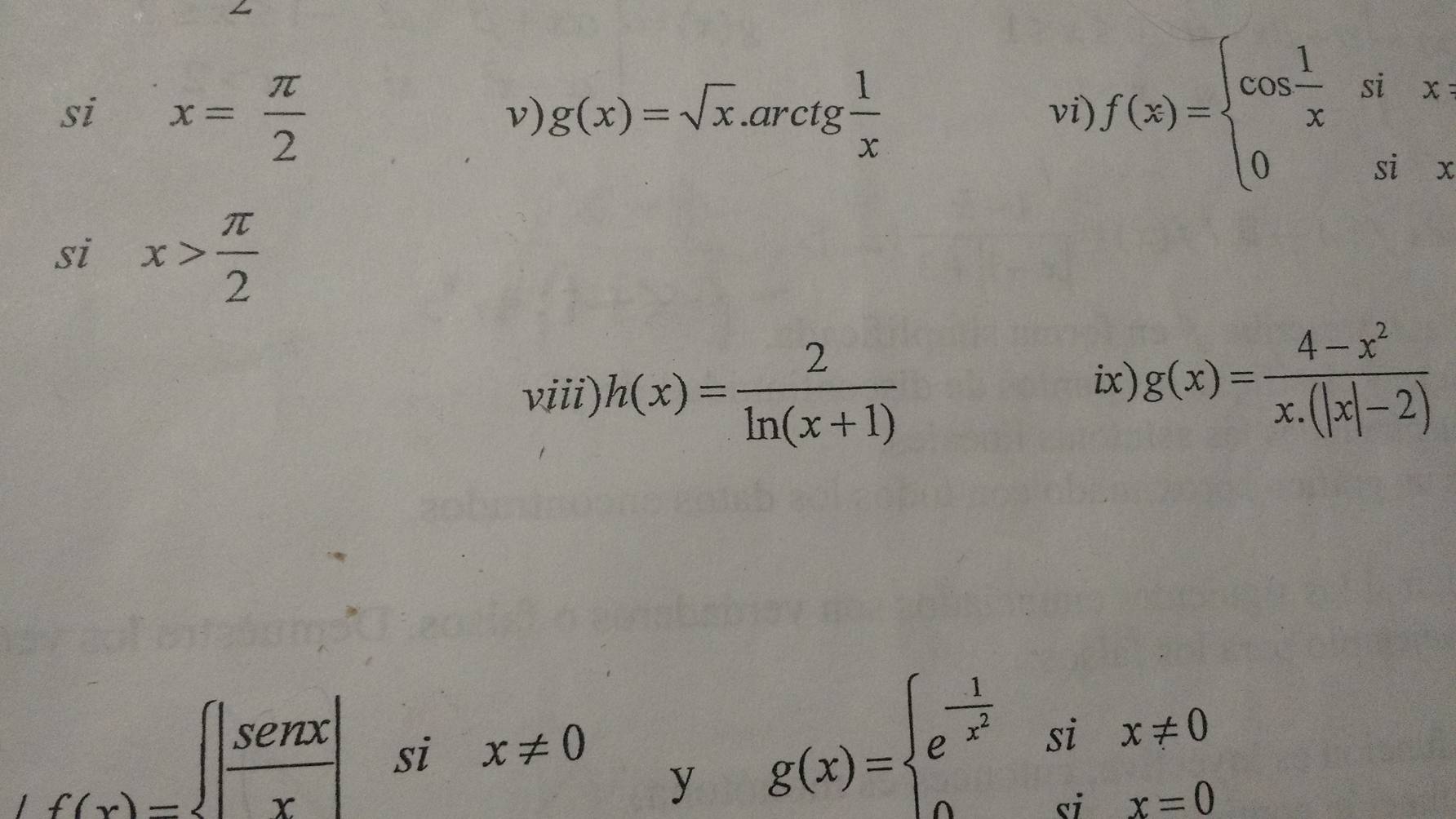
    Hola tengo la funcion del ejercicio vii) cuando analizo la cont en x=3 me da que no existe el limite ni tampoco la imagen f(3) para x=-3 me pasa lo mismo, alguien me podria ayudar a clasificar esa discontinuidad ya que no exista la imagen ni el limite me confunde

    replythumb_up0 voto/sflag
    icon

    Coté
    el 11/4/16

    Iván, perdodna, pero no se ve el ejercicio vii), ¿podrías subirlo de nuevo?

    thumb_up0 voto/sflag
    icon

    Ivan
    el 12/4/16

    hola, perdon aca esta

    thumb_up0 voto/sflag
    icon

    David
    el 12/4/16

    El limite cuando x tiende a 3 es infinito (la funcion presenta una asintota vertical)... Por tanto, discontinua inevitable de salto infinito...

    thumb_up0 voto/sflag
  • icon

    salma
    el 11/4/16
    flag

    Necesito ayuda por favor con unas inecuacionones

    replythumb_up0 voto/sflag
    icon

    César
    el 11/4/16

    icon

    David
    el 12/4/16

    Si nos dejas algun ejemplo....

    thumb_up0 voto/sflag
  • icon

    Alfredo Esteban Espinoza
    el 11/4/16

    no se como sacar el radical



    (x^2+1) √(x+1) / x^2-7x+10 ≤ 0

    replythumb_up0 voto/sflag
    icon

    César
    el 11/4/16

    VA Alfredo
    repasa las Inecuaciones

    thumb_up0 voto/sflag
  • Usuario eliminado
    el 11/4/16

    el area de la region limitada a la curva de y=sen(x) ; y=1 ; eje y
    asi va la area sombreada?

    replythumb_up0 voto/sflag
    icon

    César
    el 11/4/16

    Va Ale

    thumb_up0 voto/sflag