Buenas.
El contenido de este ejercicio, es "optimización", según mi profesora.
Me están pidiendo hallar lo siguiente:
-Sea X la base mayor de un Trapecio, halle la función que permita calcular el área del Trapecio.
¿Qué podría hacer?
¡Gracias!

Observa que tienes una progresión aritmética, cuyo primer elemento es: a1 = 5, y cuya diferencia designamos con d.
Luego, tienes para su séptimo elemento:
65 = 5 + (7 - 1)*d, y de aquí despejas: d = 10;
luego, planteas la expresión del elemento general de la progresión aritmética, y queda:
an = a1 + (n - 1)*d, aquí reemplazas el valor del primer elemento y de la diferencia, y queda:
an = 5 + (n - 1)*10, distribuyes el último término, reduces términos semejantes, ordenas términos, y queda:
an = 10*n - 5.
Luego, como tienes el valor de la suma de los n elementos de la progresión, puedes plantear la ecuación:
(a1 + an)*n/2 = 1125, multiplicas por 2 en ambos miembros, y queda:
(a1 + an)*n = 2250, aquí sustituyes las expresiones del primer elemento y del elemento general, y queda:
(5 + 10*n - 5)*n = 2250, resuelves el primer miembro (observa que tienes cancelaciones de términos en el agrupamiento), y queda:
10*n2 = 2250, divides por 10 en ambos miembros, y queda:
n2 = 225, aquí extraes raíz cuadrada positiva en ambos miembros, y queda:
n = 15, que es el número de orden del último elemento de la progresión, cuyo valor es: a15 = 10*15 - 5 = 150 -5 = 145..
Por lo tanto, puedes concluir que pueden formarse quince filas, la primera de ellas con cinco árboles, la segunda con quince, la tercera con veinticinco, y así siguiendo hasta la última, que cuenta con 145 árboles.
espero haberte ayudado.
Ejercicio de geometria
Un triangulo tiene 46m2 de base y 80 metros de altura ¿ Caunto mide su area ?
Area = 46 * 80/2 = 1´840 metros.
Hola. He adjuntado antes un ejercicio que he intentado hacer pero sigo sin saber qué he hecho mal. Pongo abajo cómo lo he hecho.
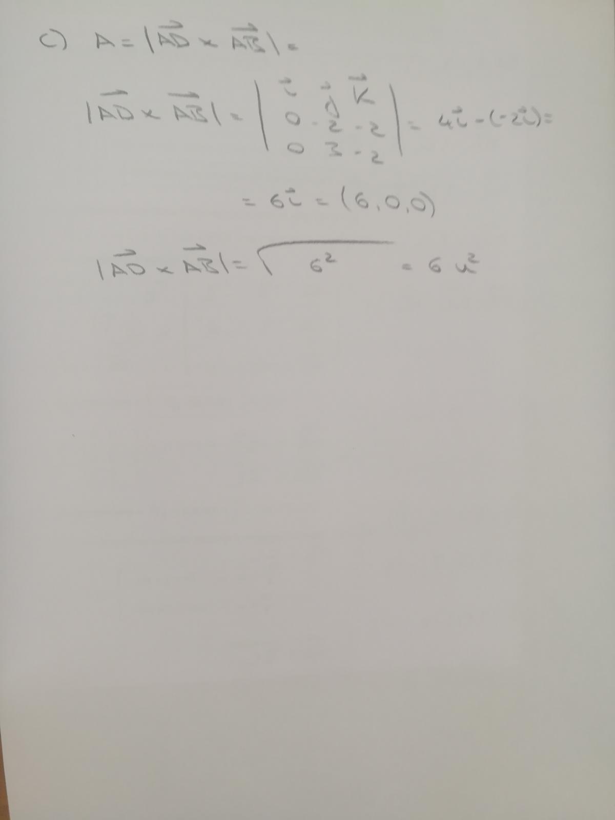
Sean los puntos A(1, -1, 3); B(1, 2, 1); C(1, 0, -1); D(1, -3, 1):
a) Deduce si los cuatro puntos son coplanarios.
b) Demuestra que son los cuatro vertices correspondientes a un paralelogramo ABCD.
c) Calcula el área del paralelogramo.
Después de intentarlo he encontrado esta manera de llegar a la solución, pero no sé cómo interpretarla

Vamos con una orientación.
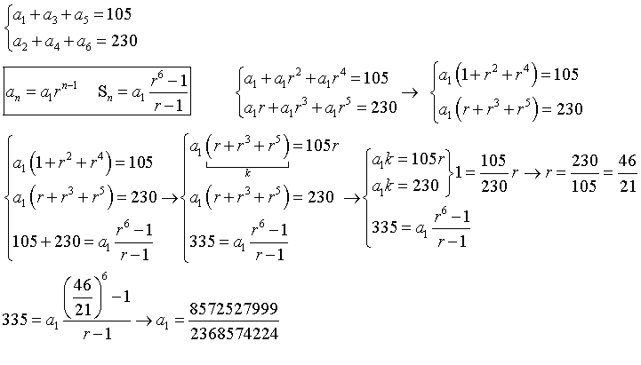
Planteas las expresiones generales de los seis elementos de la progresión geométrica, y quedan:
a1, a1*r, a1*r2, a1*r3, a1*r4, a1*r5.
Luego, planteas la suma de los elementos con números de orden impares, y queda:
a1 + a1*r2 + a1*r4 = 105, extraes factor común en el primer miembro, y queda:
a1*(1 + r2 + r4) = 105 (1).
Luego, planteas la suma de los elementos con números de orden pares, y queda:
a1*r + a1*r3 + a1*r5 = 230, extraes factores comunes en el primer miembro, y queda:
a1*r*(1 + r2 + r4) = 230 (2).
Luego, divides miembro a miembro la ecuación señalada (1) entre la ecuación señalada (2), simplificas, y queda:
1/r = 21/46, y de aquí despejas:
r = 46/21, que es la razón de la progresión.
Luego, reemplazas este valor remarcado en la ecuación señalada (1), y queda:
a1*(1 + (46/21)2 + (46/21)4) = 105, resuelves términos en el agrupamiento, y queda:
a1*(1 + 2116/441 + 4477456/194481) = 105, resuelves el agrupamiento, y queda:
a1*5605093/194481 = 105, y de aquí despejas:
a1 = 105*194481/5605093, resuelves el numerador, y queda:
a1 = 20420505/5605093, que es el primer elemento de la progresión.
A fin de verificar, emplearemos valores aproximados:
r ≅ 2,1905,
a1 ≅ 3,6432;
luego, planteas las expresiones de los otros cinco elementos de la progresión, resuelves y queda:
a2 ≅ 7,9804,
a3 ≅ 17,4811,
a4 ≅ 38,2923,
a5 ≅ 83,8793,
a6 ≅ 183,7376;
luego, planteas las sumas de elementos que tienes indicadas en tu enunciado, y queda:
a1 + a3 + a5 ≅ 3,6432 + 17,4811 + 83,8793 ≅ 105,0083 ≅ 105,
a2 + a4 + a6 ≅ 7,9804 + 38,2923 + 183,7376 ≅ 230,013 ≅ 230,
y puedes observar que hemos obtenido los valores aproximados de las sumas que tienes en tu enunciado.
Sería conveniente que consultes con tus docentes por si se ha deslizado algún error de imprenta en tu enunciado, ya que si los valore se las sumas de elementos indicadas en tu enunciado fuesen: 105 y 210, o en todo caso 115 y 230, no tendrías tantas complicaciones con los valores de la razón y del primer elemento de la progresión.
Espero haberte ayudado.
Hola buenas tardes me podrian corregir este ejercicio de radicales? gracias
4√5 x 6√7=
12√53 x 12√72 = 12√53 x 72
gracias!

Tienes que reducir los radicales al mismo índica para poder multiplicarlos o dividirlos. Aquí te dejo varios ejercicios resueltos de multiplicación y división de radicales: https://www.leccionesdemates.com/blog/producto-y-division-de-radicales-ejercicios-resueltos/
Espero que te sirvan.