Foro de preguntas y respuestas de Matemáticas

logo beUnicoos
Los foros de unicoos se han unificado en nuestra nueva plataforma beUnicoos. Para dejar nuevas preguntas deberás hacerlo allí, donde además podrás encontrar nuevas asignaturas y herramientas para ayudarte más con tus estudios.

  • icon

    Khadija Bourbah
    el 29/6/19

    hola. Me ayudan con estos ejercicios ?. Gracias


    replythumb_up0 voto/sflag
    icon

    César
    el 29/6/19


    thumb_up0 voto/sflag
    icon

    Khadija Bourbah
    el 29/6/19

    Muchísimas gracias


    thumb_up0 voto/sflag
  • icon

    Arnaud Tartulier
    el 29/6/19

    La primera propiedad de la recta (dos puntos pueden estar unidos por una única recta) y la definición de rectas coincidentes son contradictorias, pues dos puntos pueden estar unidos por 2 rectas distintas si son coincidentes. ¿Me equivoco?




    replythumb_up0 voto/sflag
    icon

    César
    el 29/6/19

    Como te oiga Euclides.

    1. Dos puntos cualquiera determinan un segmento de recta.

    las rectas coincidentes son la misma recta, no hay contradicciones.


    thumb_up0 voto/sflag
  • icon

    miguel angel gomez repiso
    el 29/6/19

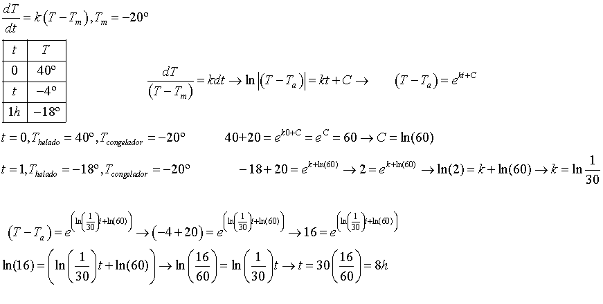
    Ejercicio de matematicas.

    Una fuente ha manado 3500 Litros de agua en 40 horas ¿ Cuantos litros manara en 24 horas ?

    40/24 = 3´5 Litros/X

    Dividimos X = 20 * 3´500 = 84000 = 2´100 Litros

                                          40            40


         

    replythumb_up0 voto/sflag
    icon

    César
    el 29/6/19

    Bien Miguel entiendo que son 2100 litros

    thumb_up0 voto/sflag
    icon

    miguel angel gomez repiso
    el 29/6/19

    Muchas gracias Cesar, que tengas un buen fin de semana.


    thumb_up0 voto/sflag
  • icon

    miguel angel gomez repiso
    el 29/6/19
    flag

    Ejercicio de matematicas

    Multiplicacion de quebrados.

    2 = 3/4 = ( 2 * 4 ) + 3 =  11/4.


          

             

    replythumb_up0 voto/sflag
    icon

    Breaking Vlad
    el 10/7/19

    No sé cuál es exactamente tu duda, pero lo que has escrito es incorrecto.

    2 no es igual a 3/4 ni tampoco es igual a (2*4)+3 y tampoco a 11/4

    thumb_up0 voto/sflag
  • icon

    Sergi Alabart Castro
    el 29/6/19


    replythumb_up0 voto/sflag
    icon

    César
    el 29/6/19


    thumb_up0 voto/sflag
  • icon

    miguel angel gomez repiso
    el 29/6/19

    Multiplicacion de quebrados 

    Reduccion de un numero Mixto a quebardo.

    2 = 3/4 = ( 2 x 4 ) + 3 = 11/4





    replythumb_up0 voto/sflag
    icon

    César
    el 29/6/19

    el resultado es correcto, pro ojo con las igualdades  2 = 3/4  no es cierta.

    thumb_up0 voto/sflag
    icon

    miguel angel gomez repiso
    el 29/6/19

    si, no es cierta tienes razon pero como tu me dijiste que era todo seguido para hacer el calculo lo siento, la culpa es mi. gracias que tengas un buen fin de semana.


    thumb_up0 voto/sflag
  • icon

    miguel angel gomez repiso
    el 29/6/19

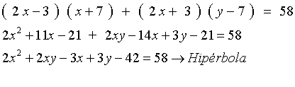
    Ecuacion de Segundo Grado.

    ( 2 x - 3 ) ( x + 7 ) + ( 2 x + 3 ) ( y - 7 ) = 58

    ( 2 x - 3 ) ( x + 7 ) + ( 2 x + 3 ) ( x - 7 )

    4 x al cuadrado - 42 = 58

    ( x = 5 ; x = - 5 )


    replythumb_up0 voto/sflag
    icon

    César
    el 29/6/19

    Me temo que has copiado mal el enunciado.


    thumb_up0 voto/sflag
    icon

    miguel angel gomez repiso
    el 29/6/19

    Tienes razonCesar lo volvere a intentar. muchas garcias.

    thumb_up0 voto/sflag
  • icon

    Lnx FX
    el 29/6/19

    Me podrían ayudar a Simplifica ?(-5x³y-20xy²)/(x²+4y)  

    Según yo el resultado es -5xy y quería saber si es verdad 


    replythumb_up0 voto/sflag
    icon

    Sergi Alabart Castro
    el 29/6/19

    ¿Podrías adjuntar el proceso? Es posible que hayas operado dos polinomios con parte literal distinta


    thumb_up0 voto/sflag
    icon

    César
    el 29/6/19

    Esta perfecto 

    thumb_up0 voto/sflag
  • icon

    Chely
    el 29/6/19

    Buenas tardes si tengo la información de un cilindro:

    Diametro:1.0

    Altura:3.0

    Si encuentro el volumen como lo expreso en metros cubicos?

    Volumen:4.71


    Pueden decirme que formulas debo utilizar para encontrar el perímetro(metros) y la superficie(metros cuadrados).

    replythumb_up0 voto/sflag
    icon

    César
    el 29/6/19

    Perimetro = longitud circunferencia

    thumb_up1 voto/sflag
  • Usuario eliminado
    el 28/6/19

    Me podéis ayudar con el último apartado del ejercicio que escribo debajo:


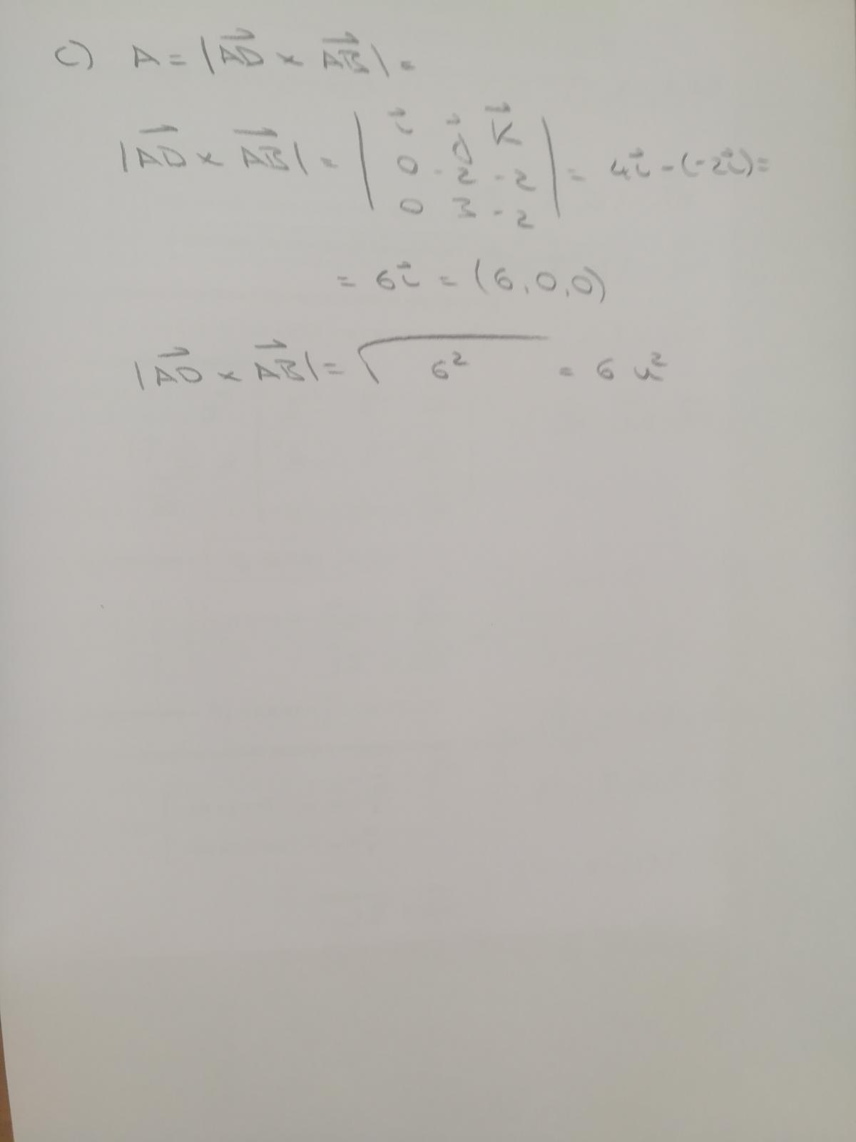
    Sean los puntos A(1, -1, 3); B(1, 2, 1); C(1, 0, -1); D(1, -3, 1):

    a) Deduce si los cuatro puntos son coplanarios.

    b) Demuestra que son los cuatro vertices correspondientes a un paralelogramo ABCD.

    c) Calcula el área del paralelogramo.

    replythumb_up0 voto/sflag
    icon

    César
    el 29/6/19


    thumb_up0 voto/sflag

    Usuario eliminado
    el 29/6/19

    Te adjunto mis resultados, ¿me podrías decir qué he hecho mal? 

    thumb_up0 voto/sflag