Alguien podriadecirme si este problema de calculo de regla de tres compuesta esta bien hecho. agardeceria respuesta.
Una sastreria vende corbatas a 62´50 euros la docena, dandoles a los clientes un descuento del 15% y del 2%. Calcular cuanto es el % de descuento y el neto que vale cada corbata.
62´50 ^15/100 = 9´375%
62´50 * 2 = 125 euros es el neto.
gracias.
1.
Una oficina del ministerio de Impuestos ha
averiguado que el 50% de las declaraciones del Impuesto Sobre la Renta se
presentan con por lo menos un error. Si se escogen aleatoriamente 12
declaraciones, calcule las siguientes probabilidades:
a)
Cuatro declaraciones tengan por lo menos un
error ¿0.1208?
b)
Más de 7 declaraciones tengan por lo menos un
error ¿0.3871)
c)
Menos de 4 no contengan errores

Se trata de que DESPUES DE IR A CLASE (ver los vídeos relacionados con
vuestras dudas) enviéis dudas concretas, muy concretas. Y que nos enviéis
también todo aquello que hayais conseguido hacer por vosotros mismos. Paso a
paso, esté bien o mal. No solo el enunciado. De esa manera podremos saber
vuestro nivel, en que podemos ayudaros, cuales son vuestros fallos.... Y el
trabajo duro será el vuestro. Nos cuentas ¿ok? #nosvemosenclase ;-)
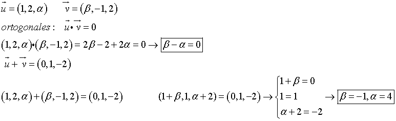
me ayudáis con algún ejemplo de base un espacio vectorial de dimensión 5 y otro de un espacio vectorial de dimensión infinita sobre R

Hola! Me encantaría ayudarte, pero no respondo dudas universitarias que no tengan que ver específicamente con los videos que ya he grabado como excepcion. O de otras asignaturas que no sean matemáticas, física y química. Lo siento de corazón… Espero lo entiendas
Ojalá algun unicoo universitario se anime a ayudarte (de hecho lo ideal es que todos los universitarios intentarais ayudaros los unos a los otros)
IR5 es un espacio vectorial de dimensión 5, y una base de este espacio vectorial es:
{(1,0,0,0,0), (0,1,0,0,0), (0,0,1,0,0), (0,0,0,1,0), (0,0,0,0,1)}
Un espacio vectorial de dimensión infinita sobre IR es el espacio vectorial de los polinomios de coeficientes reales. Es de dimensión infinita porque no existe ningún conjunto ordenado finito de elementos de este espacio vectorial que pueda generar este espacio vectorial. En efecto, para cualquier conjunto finito de polinomios que elijamos S = {p_1, p_2, ..., p_n}, si el polinomio de mayor grado en S es p_i (para algún 1 <= i <= n), siempre existirá algún polinomio en este espacio vectorial de grado mayor que el de p_i. Es decir, S no puede generar todo el espacio vectorial, y por tanto no puede ser una base suya.
Saludos.
Hoy 30 de octubrehemos descontado una letra de cambio cuyo valor nominal es de 8000 euros. El tipo de descuento aplicado es del 3%. Si hemos recibido en efectivo 7982 euros. Calcula cual es la fecha del vencimiento 80000 - 79820 = 180 * 3/100 = dia 5 del 4.
gracias.

Hola! Me encantaría ayudarte, pero no respondo dudas universitarias que no tengan que ver específicamente con los videos que ya he grabado como excepcion. O de otras asignaturas que no sean matemáticas, física y química. Lo siento de corazón… Espero lo entiendas
Ojalá algun unicoo universitario se anime a ayudarte (de hecho lo ideal es que todos los universitarios intentarais ayudaros los unos a los otros)
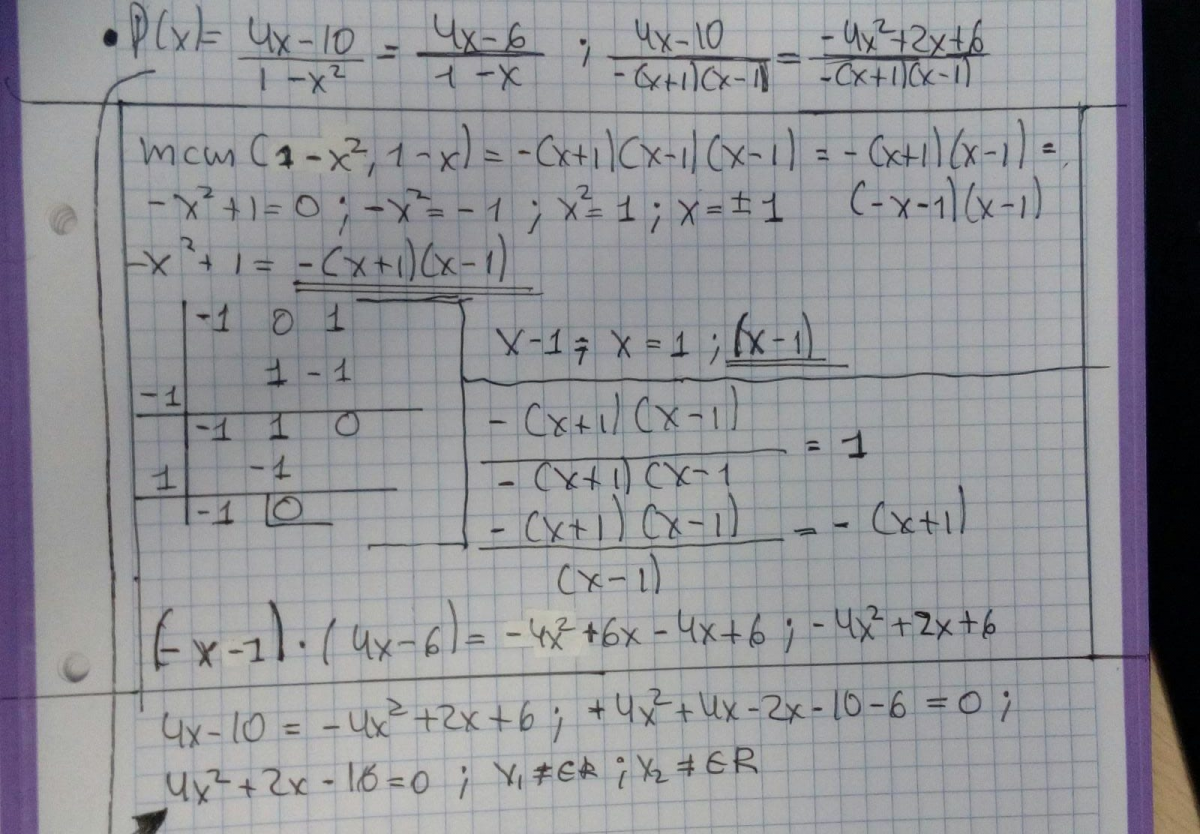
Para calcular el Ker normalmente me sale una columna de ceros y ahora no me sale, alguien me puede corregir el ejercicio. ![]()
ah vale, entonces la imagen como sería ?
es que yo en otros ejercicios me salía una columna de ceros y a simple vista viendo las columnas sabía cual es la imagen y cual es el Ker, la imagen sería las columnas que no son de ceros y el Ker por ejemplo si la columna de ceros es la segunda columna pongo que el el Ker es (0 1 0)
Muchas gracias por la respuesta César, pero me ha surgido una nueva duda. ¿Cómo se procede en el último paso que ha descrito?
cotan(x)/senx =1/tan(x) senx ??