Foro de preguntas y respuestas de Matemáticas

logo beUnicoos
Los foros de unicoos se han unificado en nuestra nueva plataforma beUnicoos. Para dejar nuevas preguntas deberás hacerlo allí, donde además podrás encontrar nuevas asignaturas y herramientas para ayudarte más con tus estudios.

  • icon

    Sara Nusgal
    el 24/6/19

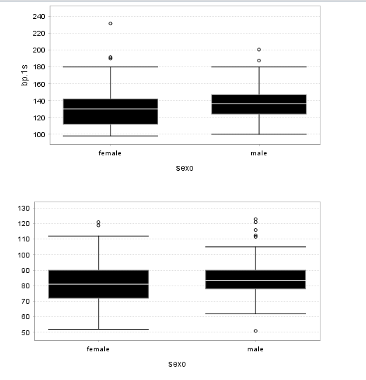
    Alguien puede ayudarme a interpretar estes diagramas de caja y conocer su simetría y dispersión? Gracias

    replythumb_up0 voto/sflag
    icon

    Guillem De La Calle Vicente
    el 24/6/19

    Un diagrama de caja es un gráfico, basado en los cuartiles, con el que se representa la distribución de frecuencias de una variable a partir de un conjunto de datos. Permite examinar visualmente y de manera rápida este conjunto de datos, así como comparar más de uno.

    Está constituido por un rectángulo, la "caja", y dos brazos, los "bigotes", y el conjunto se sitúa encima de la recta de posibles valores de la variable. La caja representa el recorrido intercuartílico, tiene el extremo inferior al cuartil Q1 y el superior al cuartil Q3. Dentro de la caja, una parte representa el cuartil Q2 o mediana. Los bigotes se extienden desde cada uno de los extremos de la caja hasta los valores mínimo y máximo de los datos dentro de un intervalo considerado de observaciones típicas. Una elección común para este intervalo es entre Q1-1,5 · IQR y Q3 - 1,5 · IQR, con IQR = Q3 - Q1, que es la amplitud intercuartílica. Los datos que quedan fuera de este intervalo se consideran observaciones atípicas y se representan, en su defecto, con pequeñoc círculos.

    Es un gráfico, pues, que suministra la información de los valores mínimo y máximo, los cuartiles Q1, Q2 o mediana y Q3, los valores extremos en el intervalo de observaciones típicas, y de los datos atípicos. Con estos datos, basta para ver a simple vista aspectos importantes de la distribución: por ejemplo, que la mediana no esté centrada en el rectángulo indica una distribución asimétrica. Tiene la ventaja de que permite la representación en poco espacio, de forma que se pueden comparar muchos a la vez.

    Saludos.

    thumb_up1 voto/sflag
  • icon

    Susy Arteaga
    el 24/6/19

    hola por favor necesito ayuda con esto para calcular la longitud de  la curva. gracias 


    replythumb_up0 voto/sflag
    icon

    Guillem De La Calle Vicente
    el 24/6/19


    thumb_up1 voto/sflag
    icon

    Guillem De La Calle Vicente
    el 24/6/19


    thumb_up1 voto/sflag
  • icon

    Carlos Bayona
    el 24/6/19

    CESAR, ANTONIUS, amigos ayudenme con este ejercicio!!!


    No entiendo de integral de i hasta e, ayudenme a resolverlo por favor!!!!

    replythumb_up0 voto/sflag
    icon

    Guillem De La Calle Vicente
    el 24/6/19


    thumb_up1 voto/sflag
    icon

    Carlos Bayona
    el 24/6/19

    Guillén agradezco tu respuesta amigo solo que el resultado que encerraste en el cuadro me lo podrías enviar con mas claridad? Es que no logro ver bien lo que escribiste amigo mio, gracias de antemano, y disculpa!!!

    thumb_up0 voto/sflag
  • icon

    Cristina Cris Silka
    el 24/6/19

    Hola! Me ayudarían con un ejercicio que no entiendo muy bien, sobre funciones cuadráticas. En cada función aplique la fórmula de Baskara, calcule el vértice , hice la tabla de valores y la gráfique. El ejercicio me pide que explique en que se parecen y se diferencian esos grupos de funciones. Sé en que se parecen, pero no sé en que se diferencian. Gracias. 



    replythumb_up0 voto/sflag
    icon

    Guillem De La Calle Vicente
    el 24/6/19

    Podrías decir que el vértice de las parábolas es distinto, y por lo tanto, su eje de simetría. También podrías decir que las intersecciones con los ejes son distintas. Y el rango también es distinto.

    De las funciones cuadráticas podrías hablar de las siguientes propiedades:

    • Dominio.
    • Rango.
    • Intersecciones.
    • Eje de simetría.
    • Vértice.
    • Concavidad.

      Saludos.

      thumb_up1 voto/sflag
      icon

      Cristina Cris Silka
      el 30/6/19

      Ok, muchas gracias!!

      thumb_up0 voto/sflag
    • icon

      Sergi Alabart Castro
      el 24/6/19


      replythumb_up0 voto/sflag
      icon

      César
      el 24/6/19


      thumb_up0 voto/sflag
      icon

      Sergi Alabart Castro
      el 25/6/19

      ¿Qué significa la E?

      thumb_up0 voto/sflag
    • icon

      Sergi Alabart Castro
      el 24/6/19

      No me sale la d

      replythumb_up0 voto/sflag
      icon

      César
      el 24/6/19


      thumb_up0 voto/sflag
    • icon

      Ludwig
      el 24/6/19

      me podéis ayudar con esto porfa, alguna referencia o lo que sea



      replythumb_up0 voto/sflag
      icon

      Guillem De La Calle Vicente
      el 24/6/19


      thumb_up0 voto/sflag
    • icon

      Bryan Quezada
      el 24/6/19

      Alguien me puede ayudar con esta pregunta por favor:

      Si el rango de la matriz aumentada es diferente de la matriz de coeficientes de un sistema de ecuaciones lineales. ¿Tiene solución el sistema de ecuaciones?

      replythumb_up0 voto/sflag
      icon

      Guillem De La Calle Vicente
      el 24/6/19

      Por el teorema de Rouché-Fröbenius, si el rango de la matriz aumentada es diferente del rango de la matriz de coeficientes de un sistema de ecuaciones lineales, el sistema de ecuaciones es incompatible, por tanto, no tiene solución.

      Saludos.

      thumb_up0 voto/sflag
    • icon

      Juan David Rodríguez González
      el 24/6/19

      He transformado esa ecuación de segundo grado a la forma canónica, pero no me dan las mismas raíces, por que? me las dan con diferente signo

      replythumb_up0 voto/sflag
      icon

      Gabriel
      el 24/6/19

      No sé muy bien qué dos procesos has realizado para calcularlo, pero yo haría lo siguente.

      thumb_up1 voto/sflag
      icon

      César
      el 24/6/19

      Cuidado con los signos


      thumb_up1 voto/sflag