Hola, me preguntaba si podíais resolver esta actividad:
Calcula la ecuación de una recta paralela a la recta 2x+3y=0, pasa por el punto A (1, -2)
Ya que mañana tengo los exámenes finales
Gracias
Hola, en la monotonía de esta función: f(x) = (x-1)e^x, a mí me da (-infinito 0) decreciente y (0, +infinito) creciente. Pero en el solucionario me pone en vez del 0, el -1. ¿Cuál de los dos está correcto? Gracias de antemano.
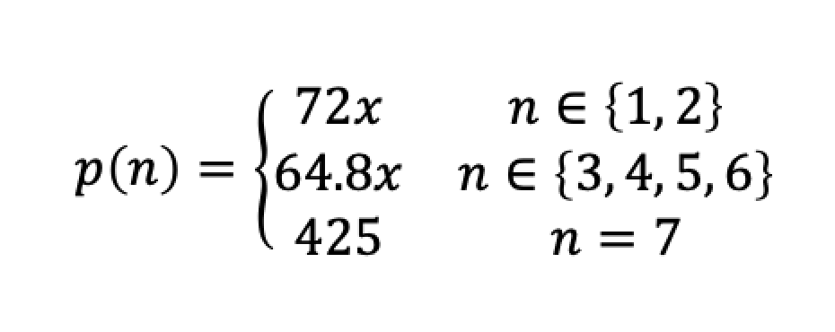
Un camping alquila bungalows con las siguientes ofertas
Precio por noche 72 euros
Por estancia de más de 2 noches 10%descuento sobre el precio total
Por estar una semana el precio es de 425 euros
Encontrar la función que te da el precio a pagar en función de los dias que estes(tiene que ser válido para estancias de 1 a 7 noches)
Alguien me puede echar una mano?

Se trata de que DESPUES DE IR A CLASE (ver los vídeos relacionados con vuestras dudas) enviéis dudas concretas, muy concretas. Y que nos enviéis siempre también todo aquello que hayais conseguido hacer por vosotros mismos. Paso a paso, esté bien o mal. No solo el enunciado. De esa manera podremos saber vuestro nivel, en que podemos ayudaros, cuales son vuestros fallos.... Y el trabajo duro será el vuestro.