Buenas, alguien podría ayudarme a resolver esto sin sistemas? Es de 1 eso
1) entre Pedro y Juan tienen 90 euros. Si pedro le diese 9 euros a Juan, entonces Pedro tendría el doble de dinero que Juan. Calcula cuánto tiene cada uno.
Gracias

Se trata de que DESPUES DE IR A CLASE (ver los vídeos relacionados con vuestras dudas) enviéis dudas concretas, muy concretas. Y que nos enviéis siempre también todo aquello que hayais conseguido hacer por vosotros mismos. Paso a paso, esté bien o mal. No solo el enunciado. De esa manera podremos saber vuestro nivel, en que podemos ayudaros, cuales son vuestros fallos.... Y el trabajo duro será el vuestro.
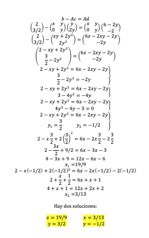
Hola Unicoos! Tengo una duda con este ejercicio, no pude solucionar el problema :( , pero me gustaría saber la solución.
Ejercicio:
En una tienda de teléfonos móviles se venden tres modelos diferentes: de gama baja, a 95 € cada uno, de gama media, a 199 € y de gama alta, a 449 €. En una semana se han vendido 25 teléfonos y se han recaudado 5623 €. ¿Cuántos teléfonos se han vendido de cada tipo, sabiendo que el número de modelos de gama alta que se han vendido es el doble que el número de modelos de gama media? Plantea un sistema de ecuaciones y resuélvelo.
Gracias de antemano.