
Observa que tienes las expresiones de dos funciones racionales (sus expresiones son divisiones entre polinomios), por lo que la condición a considerar es que sus denominadores no tomen el valor cero.
Luego, planteas las ecuaciones negadas:
a)
4 + 3x ≠ 0, y de aquí despejas: x ≠ -4/3,
por lo que el dominio de la función queda expresado: D = R - { -4/3 }.
b)
x2 + 2x - 35 ≠ 0, aquí aplicas la Fórmula de Baskara (o fórmula resolvente para ecuaciones polinómicas cuadráticas), y queda: x ≠ -7 y x ≠ 5,
por lo que el dominio de la función queda expresado: D = R - { -7 . 5 }.
Espero haberte ayudado.
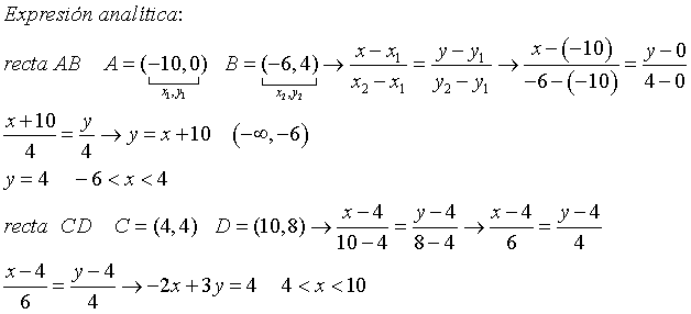
¿Me pueden ayudar con este ejercicio? a) El dominio creo que es D=(-infinito, 10) b) El punto de corte con el eje OX es el (0,6) y con el de OY es el (-10,0)
c) La función crece en (-infinto,6) U (4,10] y es constante en (-6,4). El apartado d) no sé hacerlo les agradecería mucho que me ayudaran, gracias.
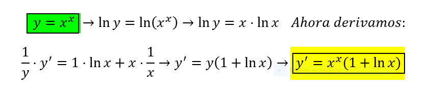
¿Me podéis ayudar a calcular esta derivada, por favor? y=x^x (x elevado a x). Gracias de antemano.
Buenos días,
este es un ejercicio del tema Formas Bilineales, que normalmente se da en primero de carrera de matemáticas.
Me dan una forma bilineal:
Sea V = R3 con la forma bilineal:
Tengo que dar un subespacio de dimensión máxima tal que φ restringida en este subespacio sea definida positiva. ç
Y no sé como hacerlo... Ni entiendo qué me piden exactamente.
También me pedían la base ortogonal de V, que ya he calculado y me ha dado:
B = ( (1/2 , 1/2, 0) , (1, 1, 0) , (-1/2 , -1/2 , 1) )
Por si os es útil. Muchas gracias con antelación, buen día

¡Hola! Nos encantaría ayudarte, pero no solemos responder dudas universitarias que no tengan que ver específicamente con los vídeos que David Calle ha grabado como excepción. O de otras asignaturas que no sean Matemáticas, Física y Química. Lo sentimos de corazón… Esperamos que lo entiendas.
Ojalá algún unicoo universitario se anime a ayudarte (de hecho, lo ideal es que todos los universitarios intentarais ayudaros los unos a los otros).

De acuerdo, muchas gracias.
He visto algunos vídeos de unicoos hablando del tema de Formas Bilineales o de ejercicios relacionados, por eso había pensado que quizás la pregunta era apropiada. Entiendo que no porque es verdad que es algo muy muy específico.
Muchas gracias por el tiempo, esperaré por si alguien se anima ^-^

Se trata de que DESPUES DE IR A CLASE (ver los vídeos relacionados con vuestras dudas) enviéis dudas concretas, muy concretas. Y que nos enviéis siempre también todo aquello que hayais conseguido hacer por vosotros mismos. Paso a paso, esté bien o mal. No solo el enunciado. De esa manera podremos saber vuestro nivel, en que podemos ayudaros, cuales son vuestros fallos.... Y el trabajo duro será el vuestro.