Calmate!!!! Es sencillo el porque el 4s. El hombre está parado y ve subir el cuerpo. Ese cuerpo no subirá para siempre ¿ok? solo subirá hasta que su velocidad sea cero, y eso ocurre cuando haya pasado 4s, que es la mitad del tiempo que midió el hombre(8s.) Te recomiendo repasar tiempo de vuelo
Buenas tardes!!!
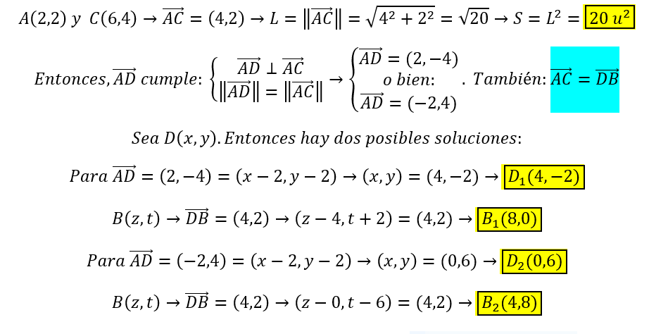
tengo una duda existencial: me encuentro en un sistema de ecuaciones en el que hay tres incógnitas con cuatro ecuaciones. Las dos últimas ecuaciones me han dado 0, es decir, que es un sistema compatible indeterminado, pero aquí viene mi duda: si ha "z" le ponemos (la y al revés, no sé si me explico bien, y decimos que equivale a todos los reales), que signo le ponemos a la "y" si también nos ha dado que todo es 0, por lo que también debe equivaler a todos los reales?![]()
Para la matriz 1 0 1
2 1 0
0 2 2
calcula el determinante de 2( At • A-1 )2017
NO ENTIENDO LOS PASOS QUE HAY QUE SEGUIR

Recuerda las propiedades de los determinantes:
det(A*B) = det(A)*det(B) (1) (determinante de una multiplicación de matrices),
det(At) = det(A) (2) (determinante de la matriz traspuesta),
det(A-1) = 1/det(A) (3) (determinante de la matriz inversa),
det(k*A) = kn*det(A) (4) con k ∈ R, y donde n es el orden de la matriz (determinante del múltiplo escalar de una matriz),
det(Ap) = ( det(A) )p (5) con p ∈ N (determinante de la matriz potencia de otra matriz).
Luego, observa que la matriz de tu enunciado es cuadrada de orden: n = 3, y que el determinante de la matriz de tu enunciado es igual a seis (te dejo el cálculo correspondiente), por lo que tienes que la matriz es invertible ya que su determinante es distinto de cero;
luego, tienes la expresión de tu enunciado:
2*det(At*A-1)2017 =
aplicas la propiedad señalada (5), y queda
= 2*( det(At*A-1) )2017 =
aplicas la propiedad señalada (1) en la base de la potencia, y queda:
= 2*( det(At)*det(A-1) )2017 =
aplicas las propiedades señaladas (2) (3) en la base de la potencia, y queda:
= 2*( det(A)*1/det(A) )2017 =
simplificas en la base de la potencia, y queda:
= 2*( 1 )2017 =
resuelves el segundo factor, y queda:
= 2*1 =
resuelves, y queda:
= 2.
Espero haberte ayudado.
Buenas, tengo una duda con el siguiente ejercicio de optimización:
Calcula el área máxima de un triángulo sabiendo que su lado más largo mide 2m.
Yo he planteado el ejercicio como si se tratara de un triángulo rectángulo, sin embargo el ejercicio no me condiciona el tipo de triángulo que debe de ser, por lo que no sé si mi planteamiento es correcto.

Comienza por designar con x e y a las longitudes de los dos otros lados del triángulo.
Luego, recuerda la propiedad del triángulo: "la longitud de uno de sus lados es menor que la suma de las longitudes de los otros dos", y a partir de ella puedes plantear la inecuación:
2 < x + y (1).
Luego, como tienes que la longitud del lado mayor es igual a dos, puedes plantear las inecuaciones:
x ≤ 2,
y ≤ 2,
aquí sumas miembro a miembro, y queda la inecuación:
x + y ≤ 4 (2).
Luego, a partir de las inecuaciones señaladas (1) (2), tienes la inecuación doble:
2 < x + y ≤ 4,
por lo que tienes que la suma de las longitudes de los otros dos lados puede tomar, como máximo el valor cuatro.
Luego, considera que la suma toma su valor máximo, por lo que puedes plantear la ecuación:
x + y = 4, aquí restas x en ambos miembros, y queda:
y = 4 - x (3).
Luego, planteas la expresión del perímetro del triángulo "máximo", y queda:
P = x + y + 2, aquí sustituyes la expresión señalada (3), y queda:
P = x + 4 - x + 2, aquí cancelas términos opuestos, reduces términos numéricos, y queda:
P = 6, que es el valor del perímetro del triángulo "máximo";
luego, planteas la expresión de su semiperímetro, y queda:
p = P/2, aquí reemplazas el valor del perímetro, resuelves, y queda:
p = 3.
Luego, planteas la Fórmula de Herón, y la expresión del área del triángulo queda:
A = √( p*(p - 2)*(p - x)*(p - y) ),
aquí reemplazas el valor del semiperímetro, reemplazas también la expresión señalada (3), y queda:
A = √( 3*(3 - 2)*(3 - x)*( 3 - (4-x) ) ),
resuelves los dos primeros factores y el cuarto factor en el argumento de la raíz cuadrada, y queda
A = √( 3*(3 - x)*(x - 1) ) (4),
resuelves los dos primeros factores, distribuyes los dos últimos y reduces sus términos semejantes, y queda:
A = √( 3*(-x2 + 4x - 3) ) (5),
que es la expresión del área del triángulo en función de la longitud de uno de sus lados cuya longitud no es conocida.
Luego, observa que la expresión señalada (5) tomará su valor máximo cuando su argumento tome a su vez su valor máximo, luego, puedes llevar la expresión polinómica cuadrática que tienes en el argumento de la raíz cuadrada a su forma canónica (te dejo la tarea de hacer el planteo correspondiente), y queda:
A = √( 3*(-(x - 2)2 + 1) ) (5).
Luego, observa que para que la expresión del área del triángulo señalada (5) tome su máximo valor, tienes que el término cuadrático que tienes en el segundo factor del argumento de la raíz cuadrada debe ser igual a cero, y observa que ésto ocurre con el valor:
x = 2;
luego, reemplazas este valor en la ecuación señalada (3), y queda:
y = 4 - 2, aquí resuelves, y queda:
y = 2.
Luego, observa que las longitudes de los tres lados son iguales a dos, por lo que tienes que el triángulo con mayor área es el triángulo equilátero cuyos lados tienen longitudes iguales a dos.
Luego, reemplazas el primer valor remarcado en la expresión del área del triángulo señalada (4), y queda:
A = √( 3*(3 - 2)*(2 - 1) ), aquí resuelves, y queda:
A = √(3).
Espero haberte ayudado.
hola por favor necesito una ayuda urgente. Miren la letras de color roja a la final se hace una letra constante ( es para un ejercicio econometrico) pero me pide una función matematica basica el ejercicio econometrico. Como podría dejar EX= BN a la final, si es posiblee o nooo????? por favor ayudemen , no le presten atención a la otra variable porq como ya les dijee esas terminan haciendo
se constante pero como puedo dejar EX=BN. POR FAVOR AYUDEMEN .