
Te sugiero este video..
Combinatoria
A partir de ahí, se trata de que DESPUES DE IR
A CLASE (ver los vídeos relacionados con vuestras dudas) enviéis dudas
concretas, muy concretas. Y que nos enviéis también todo aquello que hayais
conseguido hacer por vosotros mismos. Paso a paso, esté bien o mal. No solo el
enunciado. De esa manera podremos saber vuestro nivel, en que podemos ayudaros,
cuales son vuestros fallos.... Y el trabajo duro será el vuestro. Nos cuentas
¿ok? #nosvemosenclase ;-)
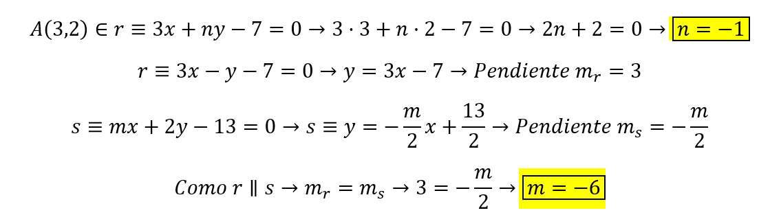
Dos rectas son paralelas si sus vectores directores están alineados. Con los datos del enunciado obtenemos que:
Vr: (P1, P2)=(n, -3)
Vs: (P3, P4)=(-2, m)
Teniendo en cuenta que para que los vectores directores coincidan deben ser proporcionales, podemos deducir que (P1/-2 = -3/P4), por tanto: P1=-2, P4=-3
Ahora podemos hacer la ecuación paramérica para obtener la ecuación implícita de la recta:
x-3/-2 = y-2/-3, con lo que -3x+2y+5=0. Finalmente comprobamos que n=2, y haciendo la posición relativa de dos rectas paralelas, obtenemos m=3
Hola Unicoos. No sé si estoy entendiendo bien lo que me piden, he igualado f1=0;f2=0 y no pude despejar las variables u,v en términos x,y . Alguna sugerencia que me podrían brindar... Gracias.
Hola de nuevo Berthin.
Tú dices “Me salió lo mismo...”, sin embargo has escrito así: (-∞,2). Sin embargo yo lo he escrito de este modo: [2,-∞), porque entiendo que y=2 sí es parte de la función.
¿Te refieres, quizás, a que sería mejor dejarlo de menor a mayor, es decir (-∞,2]