Foro de preguntas y respuestas de Matemáticas

logo beUnicoos
Los foros de unicoos se han unificado en nuestra nueva plataforma beUnicoos. Para dejar nuevas preguntas deberás hacerlo allí, donde además podrás encontrar nuevas asignaturas y herramientas para ayudarte más con tus estudios.

  • icon

    Jose
    el 3/6/19
    flag

    ¿se puede demostrar que |z-a|=c, es igual que z-a=c eiθ? es por un problema de integración de línea compleja, que se resuelve con esa propiedad pero no se como demostrar que es cierto.

    replythumb_up0 voto/sflag
    icon

    Breaking Vlad
    el 19/6/19

    Hola Jose,

    esta duda se sale de los contenidos de unicoos.

    thumb_up0 voto/sflag
  • icon

    Rafa Jiménez
    el 3/6/19

    Hola Unicoos!! ¿Estaría bien planteado el ejercicio de integrales dobles?

    replythumb_up0 voto/sflag
    icon

    César
    el 3/6/19

    Es correcta

    thumb_up0 voto/sflag
  • icon

    Bryan
    el 2/6/19

    Hola, tengo una duda, según yo el ángulo β no se puede calcular, pero no estoy seguro, si alguien puede corroborar o corregir mi afirmación se los agradecería mucho.


    replythumb_up0 voto/sflag
    icon

    Breaking Vlad
    el 3/6/19

    Si en la imagen que nos pasas están todos los datos, yo diría que falta al menos el valor de distancia DE, el ángulo EF-DF, o el CD-CE.

    ¿Qué significado tienen los valores en rojo?

    Quizás aporten algo




    thumb_up0 voto/sflag
  • icon

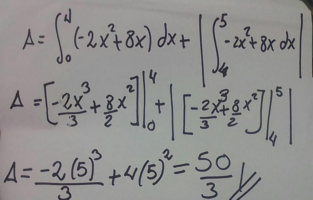
    David
    el 2/6/19

    no sé si está bien, en principio supongo que si al aplicar el valor absoluto.

    replythumb_up0 voto/sflag
    icon

    Berthin Alexander
    el 2/6/19

    Solo usa tu primera función -2x^2+8x

    thumb_up0 voto/sflag
    icon

    David
    el 2/6/19

    y es la que uso, sólo que distingo de 0 a 4 con f(x) positiva, y de 4 a 5 -f(x). Es la duda que tengo si lo he puesto bien.

    thumb_up0 voto/sflag
    icon

    Berthin Alexander
    el 2/6/19

    mmmm en la segunda parte veo un cero o estoy viendo mal


    thumb_up0 voto/sflag
    icon

    Berthin Alexander
    el 2/6/19


    thumb_up0 voto/sflag
    icon

    David
    el 2/6/19

    si, puse 0. Y ahora me surge la duda si tenía que poner f(x)-x y x-f(x) en la primera parte y la segunda de la integral.

    thumb_up0 voto/sflag
    icon

    Berthin Alexander
    el 3/6/19


    thumb_up0 voto/sflag
    icon

    Berthin Alexander
    el 3/6/19

    Solo uso la función -2x^2+8x porque es la que pertenece a los x mayores o iguales a cero. Y en tu problema te pide en esa región. La otra función es para los x menores que cero

    thumb_up0 voto/sflag
    icon

    David
    el 3/6/19

    aclarado. Saludos. 

    thumb_up1 voto/sflag
  • icon

    Jose Antonio
    el 2/6/19

    Escribe la ecuación de la recta que pasa por el punto (3, -2) y es paralela al eje de abscisas. Alguien sabe hacerlo?

    replythumb_up0 voto/sflag
    icon

    Antonio
    el 2/6/19

    y=-2

    thumb_up0 voto/sflag
    icon

    Berthin Alexander
    el 2/6/19


    thumb_up0 voto/sflag
  • icon

    Juan David Rodríguez González
    el 2/6/19

    No entiendo el por qué de esa factorización, en concreto la parte de -b(x-a), cuando claramente si sacamos factor común a " -bx + ab " creo que sería : -b(x+a)

    replythumb_up0 voto/sflag
    icon

    Antonius Benedictus
    el 2/6/19


    thumb_up1 voto/sflag
    icon

    Juan David Rodríguez González
    el 2/6/19

    Muchísimas Gracias.

    thumb_up1 voto/sflag
  • icon

    Gaussiano
    el 2/6/19

    Muy buenas, alguien me podría ayudar con esta duda? no me sale el diagrama de dispersión, tengo una tabla con datos agrupados en intervalos. Agradecería que alguien me ayudara.  Adjunto enunciado y foto de lo que intenté


    replythumb_up0 voto/sflag
    icon

    David
    el 14/10/19

    Por basarse en intervalos no puede ser un diagrama de puntos...

    thumb_up0 voto/sflag
  • icon

    Omar
    el 2/6/19

    Hola alguien me puede ayudar con la siguiente derivada pls?
    f(x)= ln (x/3 • e-x )
    Igual a más de uno os resulta muy fácil, estoy empezando con el tema todavía. Gracias de antemano :)

    replythumb_up0 voto/sflag
    icon

    Antonio
    el 2/6/19

    f(x)= ln (x/3 • e-x )

    f'(x)= [(1/3e-x)-(x/3 • -e-x)]/[x/3 • e-x ]


    thumb_up0 voto/sflag
  • icon

    enrique
    el 2/6/19

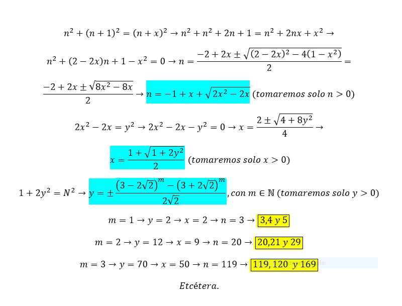
    Los valores de los catetos del triángulo rectángulo 3, 4, 5, son consecutivos.

    Obtén otro triángulo rectángulo con los catetos consecutivos comprendidos

    entre 100 y 200.

    Las soluciones son 119,120 y 169 pero no se como plantearlo. Gracias

    replythumb_up0 voto/sflag
    icon

    Antonius Benedictus
    el 2/6/19


    thumb_up1 voto/sflag
  • icon

    Juan Aquino
    el 2/6/19
    flag

    hola me podria ayudar con el ejercicio E7.8] me pide que determine si el conjunto dado determina o general al espacio vectoria pero no se plantearlo 

    replythumb_up0 voto/sflag
    icon

    Breaking Vlad
    el 19/6/19

    Hola Juan,

    esta duda se sale del contenido de unicoos.

    thumb_up0 voto/sflag