Hola Unicoos
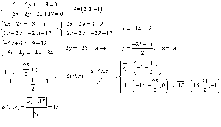
No consigo la solución. Alguien puede dibujarme el planteamiento con la gráfica?
Muchas gracias
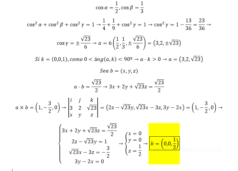
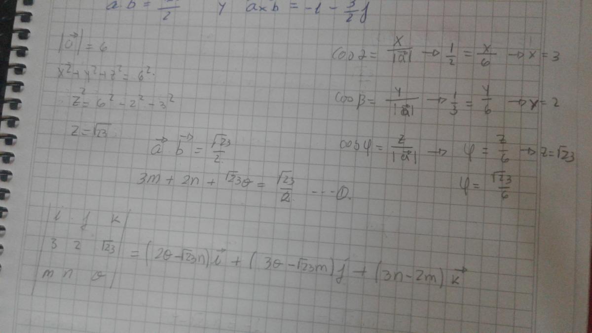
Hola Unicoos, posiblemente me gane una banderita roja por esta, para el caso b) he intentado siguiendo la sugerencia del libro y morí en el intento...alguien me podría brindar alguna pista más.. gracias por sus tiempos Unicoos.

Hola Unicoos, alguien me puede decir si el siguiente problema lo he resuelto bien?? gracias
Calcular el área total y el volumen de un prisma recto hexagonal de 10 centímetros de altura y cuyo lado de la base mide 9 centímetros.
1º Calculamos la apotema
ap² + 2²= 9²
ap²= 9² - 2 elevado a 4 = 81-16= 65
ap= Raíz cuadrada de 65 = 8,06
AB: P*AP/2 = 6*9*8,06 /2 = 217,62 cm²
AL: P*H= 6*9*10= 540 cm²
AREA TOTAL= AB + AL = 217,62 + 540 = 757,62 cm²
VOLUMEN= AB * H = 217,62 * 10 = 2176,2 cm³