Hola necesito ayuda con esto:Encontrar los puntos de la recta r: x-2y-6=0 que distan 2 unidades de la recta s: 3x-4y+4=0
Busquemos un punto genérico de la recta r: x-2y-6=0
tenemos que P=(2λ+6,λ)
Calculemos la distancia entre P y la recta s: 3x-4y+4=0
d(P , s) = Ι3(2λ+6)-4(λ)+4Ι/√(32+(-4)2)
d(P , s) = Ι6λ+18-4λ+4Ι/√(9+16)
d(P , s) = Ι2λ+22Ι/√25
d(P , s) = Ι2λ+22Ι/5
y como: d(P , s) = 2, entonces:
Ι2λ+22Ι/5 = 2
Ι2λ+22Ι = 10
bien 2λ+22 = 10 => 2λ= 10-22 => 2λ= -12 => λ= -6 => P=(-6,-6)
bien 2λ+22 = -10 => 2λ= -10-22 => 2λ= -32 => λ= -16 => P=(-26,-16)
Hola unicoos necesito que alguien me diga si éste ejercicio lo tengo bien resuelto, ahhhh la respuesta c no la se hacer...muchas gracias
a. Calcular el volumen del cilindro (V= pi* R²*h) V= 3,14 * 1² * 2 = 6,28 m
b. Calcular el volumen de la esfera (V= 4/3 pi * r³) V= 4/3 * 3,14 * 1³= 4,18 m
c. Calcular el volumen que queda libre en el cilindro si se introduce la esfera en su interior. Este no lo se hacer???![]()
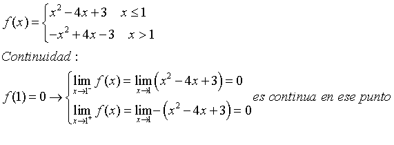
Recorrido de una función a trozos. 3eso
Buenas tardes. Me dicen que el recorrido de la función que adjunto es (-∞,6] pero no entiendo de dónde sale [no digo que no sea correcto].
Creo que su dominio es D(f) = [-∞, -5)∪(-4, -1)∪(-1,1)∪(1,4)∪(4,6)∪[6+∞).
Por favor indicarme cómo se obtiene el recorrido indicado. Gracias.
Hola, ¿me podrían decir cuáles son las soluciones de los ejercicios 34 y 37?, es que a mí me da la "c" en ambos ejercicios.
.

Se trata de que DESPUES DE IR A CLASE (ver los vídeos relacionados con vuestras dudas) enviéis dudas concretas, muy concretas. Y que nos enviéis también todo aquello que hayais conseguido hacer por vosotros mismos. Paso a paso, esté bien o mal. No solo el enunciado. De esa manera podremos saber vuestro nivel, en que podemos ayudaros, cuales son vuestros fallos.... Y el trabajo duro será el vuestro. Nos cuentas ¿ok? #nosvemosenclase ;-)
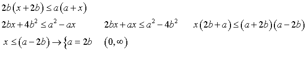
Buenos días, ¿podrían ayudarme con la resolución de esta inecuación?
