Hola Unicoos
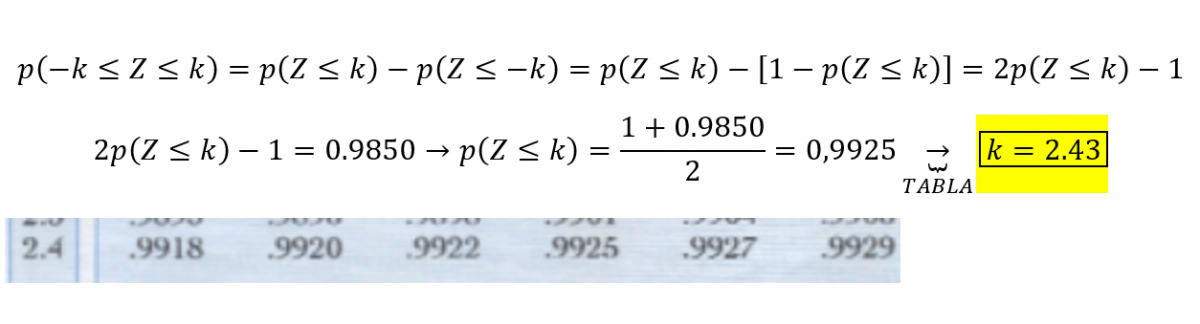
En el apartado e) sería P(X=64), y tipificado P(Z= -2). pero la distribución normal solo busca valores P(X≤64). Qué fórmula hay que utilizar en los casos en los que P(Z=k)? Muchas gracias
Muy buenas, quisiera confirmar que este gráfico representa una variable discreta no?, yo pienso que es así por su crecimiento escalonado, a diferencia de una variable continua, no empieza en el origen.
Bueno, y si pueden, me podrían informar de más elementos a tener en cuenta para decidir si representa una discreta o una continua.
Alguien me podría ayudar a contestar esta pregunta por favor se los agradecería mucho

Hola Luis gerardo, no has posteado ninguna pregunta,
sin embargo, igualmente se trata de que intentéis los ejercicios y nos preguntéis las dudas concretas que os surjan durante el proceso.
Desde unicoos no resolvemos vuestros ejercicios sino que os ayudamos a resolverlos por vosotros mismos.

¡Hola! Nos encantaría ayudarte, pero no solemos responder dudas universitarias que no tengan que ver específicamente con los vídeos que David Calle ha grabado como excepción. O de otras asignaturas que no sean Matemáticas, Física y Química. Lo sentimos de corazón… Esperamos que lo entiendas.
Ojalá algún unicoo universitario se anime a ayudarte (de hecho, lo ideal es que todos los universitarios intentarais ayudaros los unos a los otros).
HOLA!...TENGO QUE RESOLVER ESTE PROBLEMA:Tengo un amigo que es mago profesional desde hace más de 45 años Poco después del nacimiento de su hijo me contó recientemente que su edad y la de su hijo son numéricamente reversibles si él es 27 años mayor que su hijo cuántos años tienen ambos