Foro de preguntas y respuestas de Matemáticas

logo beUnicoos
Los foros de unicoos se han unificado en nuestra nueva plataforma beUnicoos. Para dejar nuevas preguntas deberás hacerlo allí, donde además podrás encontrar nuevas asignaturas y herramientas para ayudarte más con tus estudios.

  • icon

    Laura
    el 28/5/19

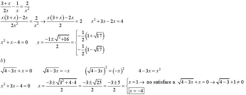
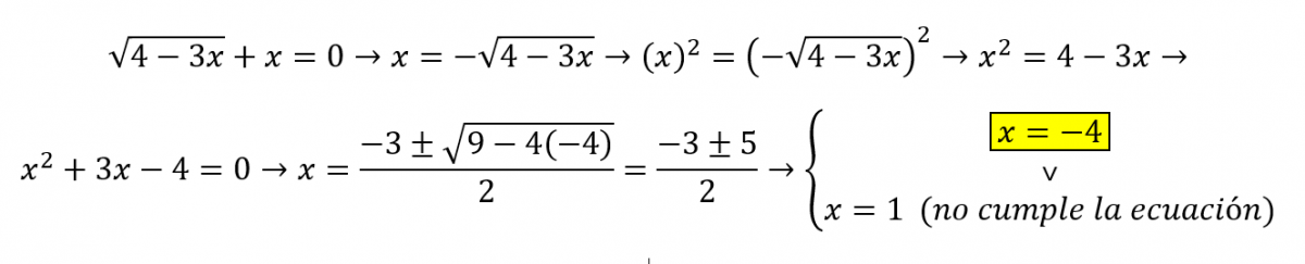
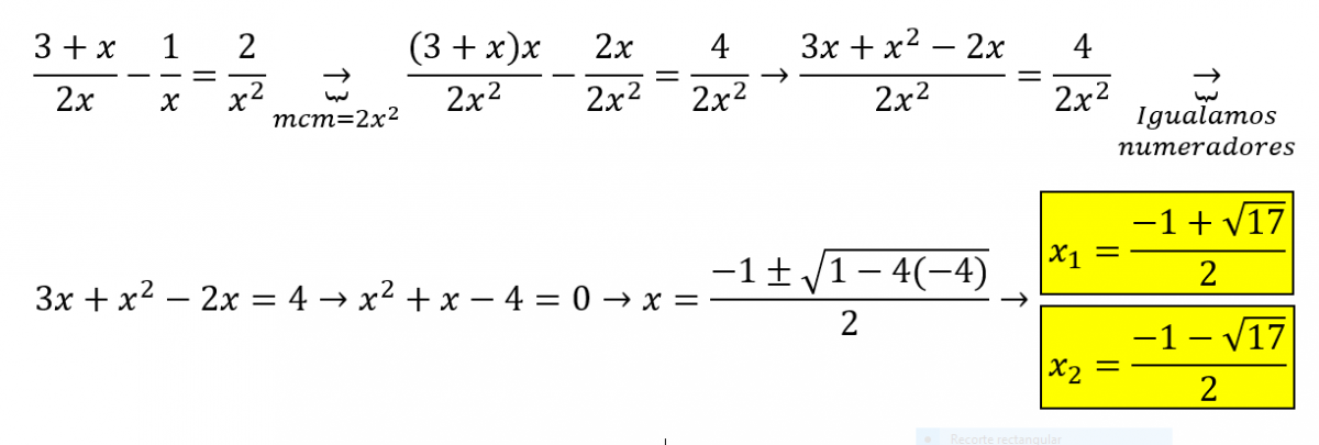
    No hay manera de hacerlo bien y no se en que me he equivocado...

    replythumb_up0 voto/sflag
    icon

    Antonius Benedictus
    el 28/5/19


    thumb_up1 voto/sflag
    icon

    Antonius Benedictus
    el 28/5/19


    thumb_up1 voto/sflag
    icon

    César
    el 28/5/19


    thumb_up1 voto/sflag
  • icon

    Fernando
    el 28/5/19

    Alguna idea para plantear este problema?

    Considera los tres puntos en R, x1 = 1, x2 = 2, x3 = 10000. Encuentra un punto x∈R tal que la suma de las distancias de x a estos tres puntos sea mínima.

    Gracias por su ayuda!

    replythumb_up0 voto/sflag
    icon

    Antonius Benedictus
    el 28/5/19


    thumb_up0 voto/sflag
  • icon

    Fernando
    el 28/5/19

    Problema: Sea f:R->R una función continua que satisface f(x)*f(f(x))=1 para toda x. Si f(0)=2, encuentra f(1).

    Mi idea hasta el momento: Consideremos g(x)=f(x)*f(f(x)). Para x = 0 tenemos: g(0)=f(0)f(f(0))=2f(2)=1 -> f(2)=1/2. Para x=2 tenemos: g(2)=f(2)f(f(2))=1/2 f(1/2)=1 -> f(1/2)=2. Por el teorema del valor intermedio se tiene la existencia de f(1), pero como obtengo el valor de f(1)? 

    Agradezco cualquier ayuda!

    replythumb_up0 voto/sflag
    icon

    Antonius Benedictus
    el 28/5/19

    ¿Puedes subir una foto del enunciado original, por favor?

    thumb_up0 voto/sflag
    icon

    Fernando
    el 28/5/19

    Sea f:R->R una función continua que satisface f(x)*f(f(x))=1 para toda x. Si f(0)=2, encuentra f(1).

    thumb_up0 voto/sflag
  • icon

    Berthin Alexander
    el 28/5/19


    replythumb_up0 voto/sflag
    icon

    César
    el 28/5/19


    thumb_up1 voto/sflag
  • icon

    Berthin Alexander
    el 28/5/19
    flag


    replythumb_up0 voto/sflag
    icon

    Breaking Vlad
    el 29/5/19

    Hola Berthin,

    Además, se trata de que vosotros intentéis resolver los ejercicios por vuestra cuenta, y preguntarnos las dudas concretas que os surjan durante el proceso. 

    No estamos para resolver vuestros ejercicios, sino para ayudaros a hacerlos por vosotros mismos.

    Un saludo.

    thumb_up0 voto/sflag
    icon

    Berthin Alexander
    el 31/5/19

    No se por donde empezar... Debiste dejarlo así y no mandar un comentario que no viene al caso. 

    thumb_up0 voto/sflag
  • icon

    Mario Vasquez
    el 28/5/19

    Ayudenme con esta pregunta porfa 

    replythumb_up0 voto/sflag
    icon

    Antonius Benedictus
    el 28/5/19


    thumb_up0 voto/sflag
  • icon

    Octavio Felix
    el 28/5/19


    replythumb_up0 voto/sflag
    icon

    Berthin Alexander
    el 28/5/19


    thumb_up0 voto/sflag
    icon

    César
    el 28/5/19


    thumb_up0 voto/sflag
  • icon

    lucia1902
    el 28/5/19

    Buenas noches, alguien me ayuda a resolver esto?

    replythumb_up0 voto/sflag
    icon

    Antonius Benedictus
    el 28/5/19


    thumb_up1 voto/sflag