Foro de preguntas y respuestas de Matemáticas

logo beUnicoos
Los foros de unicoos se han unificado en nuestra nueva plataforma beUnicoos. Para dejar nuevas preguntas deberás hacerlo allí, donde además podrás encontrar nuevas asignaturas y herramientas para ayudarte más con tus estudios.

  • icon

    Carmen Escobar Ruiz
    el 28/5/19

    Hola buenas tardes, quisiera que alguien me dijera si éste ejercicio lo tengo correcto,  muchas gracias

    Área del Círculo: 2pi r2

    2pi x 25 = 50 pi

    Area del cilindro: 2pi (9) = 18 pi

    Area Total= 50 + 18 = 68 cm



    replythumb_up0 voto/sflag
    icon

    César
    el 28/5/19


    thumb_up1 voto/sflag
  • icon

    lbp_14
    el 28/5/19

    Hola Unicoos

    No entiendo nada el apartado b) de este ejercicio. Me cuesta mucho. Alguien puede desarrollármelo por favor para entenderlo?

    Muchísimas gracias



    replythumb_up0 voto/sflag
  • icon

    Elena Juzgado López
    el 28/5/19

    Por favor, necesito ayuda con este ejercicio, pues no logro entender de dónde salen los valores que me piden. El ejercicio dice:

    Ordena de menor a mayor los valores de f'(-2), f'(2) y f'(0). (Lo que yo no entiendo es qué significan los valores entre paréntesis, de dónde salen, y qué debo hacer con ellos).


    replythumb_up0 voto/sflag
    icon

    Fernando
    el 28/5/19

    El número entre paréntesis corresponde a la coordenada en x. En tu casa conforme aumenta la coordenada en x a pendiente crece, es decir, f'(-2)<f'(0)<f'(2)

    thumb_up0 voto/sflag
    icon

    Elena Juzgado López
    el 29/5/19

    Gracias Fernando.

    thumb_up0 voto/sflag
  • icon

    Charan Herraiz Escale
    el 28/5/19

    Buenas, alguien sabe hacer el ejercicio 1, es de un examen de selectividad de Andalucía del año pasado.

    replythumb_up0 voto/sflag
    icon

    César
    el 28/5/19


    thumb_up1 voto/sflag
  • icon

    Charan Herraiz Escale
    el 28/5/19

    Hola, Alguien sabe hacer el ejercicio 4 apartado B, que lo he intentado y no me sale. Es de un examen de selectividad de Andalucía del año pasado de matemáticas


    replythumb_up0 voto/sflag
    icon

    Antonius Benedictus
    el 28/5/19

    En el hueco hay que poner BC.

    thumb_up1 voto/sflag
  • icon

    Vivi
    el 28/5/19

     Me ayudan con el tema 2?  Nose como hallar el punto de la recta R y la normal 


    replythumb_up0 voto/sflag
    icon

    Antonius Benedictus
    el 28/5/19


    thumb_up0 voto/sflag
    icon

    Vivi
    el 28/5/19

    Por que queda X = 4π ??

    thumb_up0 voto/sflag
    icon

    Antonius Benedictus
    el 28/5/19

    Errata. Es 4μ.

    thumb_up0 voto/sflag
  • Usuario eliminado
    el 28/5/19

    Hola buenas tardes, quería saber si podéis ayudarme con este problema, es que no sé como plantearlo.

    Elegimos aleatoriamente 4 de las 40 cartas de una baraja española. Calcular la probabilidad de que:

    a) Algunas de las cartas sea un rey.

    b) Cada carta sea de un palo distinto.


    El a) he deducido que sería casos favorables entre los casos posibles (1/4=0,25 --> 25%) pero no estoy segura de si es así.

    Y el apartado b) es el que no sé como planteralo.


    Un saludo y muchas gracias.

    replythumb_up0 voto/sflag
    icon

    Antonius Benedictus
    el 28/5/19

    Como no sé si has dado Combinatoria, te hago una resolución básica:


    thumb_up1 voto/sflag
  • icon

    David
    el 28/5/19

    he hecho cambio de variable y me ha resultado 1/2(1/(1+(2x)^2))), pero consultando la calculadora de integrales sale un logaritmo.

    replythumb_up0 voto/sflag
    icon

    Antonius Benedictus
    el 28/5/19


    thumb_up1 voto/sflag
  • icon

    marta
    el 28/5/19

    Me puede ayudar alguien a realizar estos dos apartados, por favor

    replythumb_up0 voto/sflag
    icon

    David
    el 28/5/19

    d) para este ejercicio debes identificar que del vector director sacamos la pendiente, que es -3/5.

     la pendiente, bien despejando y o bien por la recta, de la ecuación de la recta es -2/k. Eso lo igualamos a la pendiente del vector director y sale k=10/3

    en el otro apartado debe salirte k=-9/2

    thumb_up0 voto/sflag
  • icon

    Ana Pariona
    el 28/5/19

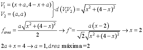
    Hola me podrian ayudar con este problema usando el primer teorema fundamental. La verdad lo he intentado varias veces y me han salido dos respuestas diferentes.

    replythumb_up0 voto/sflag
    icon

    Antonius Benedictus
    el 28/5/19


    thumb_up0 voto/sflag