![]()
Hola, ¿me podrían ayudar con el ejercicio 39? Yo creo que la respuesta correcta es la "c", pero no estoy segura porque me ha parecido muy fácil y no he utilizado ni la media ni la varianza. Gracias.

¡Hola! Nos encantaría ayudarte, pero no solemos responder dudas universitarias que no tengan que ver específicamente con los vídeos que David Calle ha grabado como excepción. O de otras asignaturas que no sean Matemáticas, Física y Química. Lo sentimos de corazón… Esperamos que lo entiendas.
Ojalá algún unicoo universitario se anime a ayudarte (de hecho, lo ideal es que todos los universitarios intentarais ayudaros los unos a los otros).
Hola buenos días!Muchas gracias por responderme.he enviado foto ,a ver si alguien me puede ayudar con estos ejercicios .
no se que metodología seguir
hola tengo una duda quien me puede ayudar?
Las dimensiones en un mapa de una habitación rectangular son de 4cm i 6cm. Cual es la superficie real de la habitación si el mapa está a escala 1:50
La escala te da la relación en centímetros en el plano y la realidad; en este caso 1 cm en el plano equivalen a 50 cm en la realidad. Para hacer la conversión sería:
4cm x 50 = 200 cm = 2 m
6cm x 50 = 300 cm = 3 m
Como es rectangular y pide la superficie, El área es largo x ancho, 3 x 2 = 6 m2
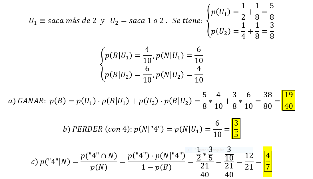
Hola! Tengo una duda con el siguiente ejercicio (es de probabilidad de 1 bachillerato de CCSS) los dos primeros apartados me dan igual que el profesor de clase, pero el tercero nos da diferente y creo que él está equivocado pero dice que no, que el equivocado soy yo. ¿Podríais ayudarme a resolverlo entero? Muchas gracias!