Foro de preguntas y respuestas de Matemáticas

logo beUnicoos
Los foros de unicoos se han unificado en nuestra nueva plataforma beUnicoos. Para dejar nuevas preguntas deberás hacerlo allí, donde además podrás encontrar nuevas asignaturas y herramientas para ayudarte más con tus estudios.

  • icon

    Alejandro Mayor
    el 23/5/19

    En esta pregunta cómo se ha sacado el valor de la t? Es lo que no me queda claro, por qué t es igual a 9?


    Gracias y un saludo.

    replythumb_up0 voto/sflag
    icon

    Antonius Benedictus
    el 23/5/19

    Usa el dato de que f(1,2)=4.

    thumb_up0 voto/sflag
    icon

    Alejandro Mayor
    el 23/5/19

    Podrias desarrollarlo para poder verlo bien paso a paso?

    Gracias


    thumb_up0 voto/sflag
  • icon

    angel martinez
    el 23/5/19

    Hola, buenos días! Alguien me puede ayudar con ejercicios del tipo " dibuja la gráfica de una función sabiendo el dominio,el rango,puntos de corte, continuidad,........"

    Se, identificar estas características en una grafica dibujada ,pero no se ni como empezar cuando la tengo que dibujar

    muchas gracias

    replythumb_up0 voto/sflag
    icon

    Antonius Benedictus
    el 23/5/19

  • icon

    Grace Aldana
    el 23/5/19

    La altura de los alumnos de 2do de Bachiller sigue una distribución normal con media 1,65m y desviación tipica de 9cm. Se pide:

    a. se elige un alumno al azar, calcula la probabilidad de que su altura supere los 190cm

    b. se elige un alumno al azar,calcula la probabilidad de que su altura este entre 1,56 y 1,74m

    c. el 23% de los alumnos de segundo de bach son mas altos que Priscila. cual es su altura?

    d. De un grupo de 30 alumnos, cuantos crees que hay que tengan mas de 160 cm?

    replythumb_up0 voto/sflag
    icon

    Antonius Benedictus
    el 23/5/19


    thumb_up1 voto/sflag
  • icon

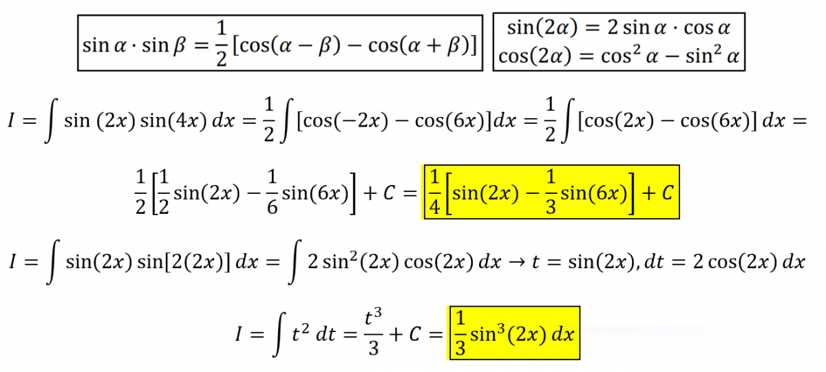
    Uriel Dominguez
    el 23/5/19

    Me gustaría saber si esta integral está bien, es por partes

    replythumb_up0 voto/sflag
    icon

    Antonius Benedictus
    el 23/5/19


    thumb_up1 voto/sflag
  • icon

    Enzo CMdemian
    el 23/5/19

    Buenas únicos! en este ejercicio mi duda es la siguiente: Era un problema de maximización usando derivadas. Tenía que derivar para comenzar la función Y=(12-X)^(1/2) y no podía, por ende usé esa calculadora de derivadas de internet. Luego de realizar la derivada, debía igualarla a 0 para obtener las raíces. El inconveniente es que me pierdo en el último paso "simplifica/reescribe" ¿alguien sabe como paso de tener la raíz cuadrada de 12-x - x/(2*raiz cuadrada de 12-x) a -(3x-24)/(2*raiz cuadrada de 12-x)? ¿Cual fue el paso o método ahí aplicado? y si me lo pueden replicar por favor.

    Gracias y saludos coordiales! 

    replythumb_up0 voto/sflag
    icon

    Julieta Galindo
    el 23/5/19

    Sacá común denominador 2*sqrt(12-x) y realizá la resta de expresiones algebraicas.

    thumb_up0 voto/sflag
    icon

    Enzo CMdemian
    el 23/5/19

    Perdón, ¿que es sqrt? Gracias.

    thumb_up0 voto/sflag
    icon

    Antonius Benedictus
    el 23/5/19

    Raíz cuadrada.

    thumb_up1 voto/sflag
  • icon

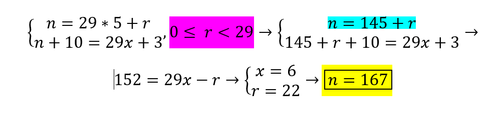
    Julieta Galindo
    el 23/5/19

    Hola! Necesito ayuda con esto por favor:

    "Hallar n sabiendo que el cociente de dividir n por 29 es 5 y que el resto de dividir n + 10 por 29 es 3."

    replythumb_up0 voto/sflag
    icon

    Antonius Benedictus
    el 23/5/19


    thumb_up0 voto/sflag
    icon

    Julieta Galindo
    el 25/5/19

    Hola! Disculpa pero no entendí la última implicancia. Gracias.

    thumb_up0 voto/sflag
  • icon

    anabelly ramirez
    el 23/5/19
    flag

    Si eres maestro de Matemáticas de Nivel Medio Superior en México,  necesito de tu apoyo para contestar una encuesta para una investigación,  en el siguiente link: 


    https://forms.gle/FjP2bkx97yE6HYMH8

    te lo agradecería muchísimo...

    replythumb_up0 voto/sflag
    icon

    Breaking Vlad
    el 29/5/19

    Hola Anabelly,

    lo sentimos mucho, pero este foro es para resolución de dudas.

    thumb_up0 voto/sflag
  • icon

    Pica
    el 22/5/19

    Hola, solicito ayuda por favor


    replythumb_up0 voto/sflag
    icon

    César
    el 23/5/19

    Revisalo 


    thumb_up1 voto/sflag
  • icon

    Berthin Alexander
    el 22/5/19

    Por favor ayuda. Gracias!|

    replythumb_up0 voto/sflag
    icon

    Antonius Benedictus
    el 23/5/19


    thumb_up0 voto/sflag
    icon

    Berthin Alexander
    el 23/5/19

    Me puedes explicar brevemente el procedimiento, por favor.

    thumb_up0 voto/sflag
  • icon

    Fuen
    el 22/5/19

    Hola ,alguien podría decirme la asintota oblicua de f(x)  x2/x+1

    replythumb_up0 voto/sflag
    icon

    César
    el 22/5/19

    icon

    Berthin Alexander
    el 22/5/19


    thumb_up0 voto/sflag