cosx+senx=√3
He usado el método de "cosx=sen(x+90)" pero me queda "sen(x+45)=√6/2" --> "√(3/√2) sin racionalizar"

Elevas al cuadrado en ambos miembros, resuelves el segundo miembro, y queda:
(cosx + senx)2 = 3, desarrollas el primer miembro, y queda:
cos2x + 2*cosx*senx + sen2x = 3, ordenas términos, y queda:
cos2x + sen2x + 2*cosx*senx = 3, aplicas la identidad trigonométrica fundamental, y queda:
1 + 2*cosx*senx = 3, restas 1 en ambos miembros, y queda:
2*cosx*senx = 2, aplicas la identidad trigonométrica del seno del doble de un ángulo, y queda:
sen(2x) = 2,
que es una ecuación trigonométrica que no tiene solución real, ya que el primer miembro solo puede tomar valores comprendidos entre -1 y 1.
Espero haberte ayudado.
Buenas unicoos. Ojalá puedan ayudarme con este ejercicio por favor. He intentado hacerlo pero no he conseguido mucho más que hacer el dibujo y ni tan siquiera sé si sería como lo he planteado. Ojalá puedan ayudarme y explicarme como se realiza. Muchas gracias de antemano por su esfuerzo y por ayudarnos a todos.
Sea la recta:
x=1
x-y=0
Y el plano pi1: x+y+z=0
Y pi2: y+z=0
Halla la recta contenida en pi1, que es paralela a pi2 y que corta a la recta r.
Muchas gracias por todo de verdad
b) s y d son perpendiculares, s · d = 0 → (a + b) · (a - b) = 0 → a2 - b2 = 0 → a2 = b2 → a = b
c) Si u(t) = cte → du(t) / dt = 0 = v → u · v = cte · 0 = 0, son perpendiculares.
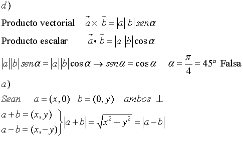
¿Alguien puede decirme si están bien y ayudarme con los apartados a y d? Muchas gracias :)
Alguien me puede ayudar con este ejercicio ?? Representar la siguiente función sabiendo:
dom f(x) = (-11,3)u(2,8)
recf(X)=(-5,7)
puntos de corte y=o ( x=-9,5 , x=-5)
no es simetrica ,ni periodica
decreciente (-3,2)
creciente(-7,5,-3)u(2,5)
maxf(x)(-7,5,2)
minf(x)=(5,2)
Hola otra vez! Muchas gracias por responderme.El ejercicio del que hablo es de mi hija que va a tercero de la ESO.
PONGO UN EJEMPLO : representar la siguiente función sabiendo
dom f(x) = (-11,3)u(2,8)
recf(X)=(-5,7)
puntos de corte y=o ( x=-9,5 , x=-5)
no es simetrica ,ni periodica
decreciente (-3,2)
creciente(-7,5,-3)u(2,5)
maxf(x)(-7,5,2)
minf(x)=(5,2)
en este tipo de ejercicios no tengo ninguna metodología o vídeo
muchas gracias
Hola. me puedes decir si esto está bien?
3. Para intentar curar una enfermedad hay dos tratamientos, el tratamiento antiguo y el tratamiento nuevo. Se han estudiado los resultados a un grupo de 160 individuos, de los cuales 103 se han curado. Nos dicen que el número de pacientes que han recibido el tratamiento nuevo son 81, de los cuales 43 se han curado. Se elige una persona al azar. Busca las probabilidades siguientes: a) Que se haya curado b) Que se haya curado con el nuevo tratamiento. c) Que no se haya curado con el tratamiento antiguo d) Que haya usado el tratamiento nuevo alguien que no se ha curado. ![]()