Alguien puede ayudarme con esto??
Calcular los vectores de m y n, sabiendo que el vector de origen A(2, m-2), y el vector B(3n, 5) tienen de coordenadas (-5, 6).

Si tienes:
que A(2,m-2) es el punto de origen del vector,
y que B(3n,5) es el punto de extremo del vector,
y que la expresión del vector es: u = < -5 , 6 > (1);
entonces planteas la expresión del vector en función de las coordenadas de los puntos A y B, y queda:
< xB - xA , yB - yA > = u,
reemplazas las expresiones de las coordenadas de los puntos, reemplazas la expresión del vector, y queda:
< 3n - 2 , 5 - (m-2) > = < 5 , 6 >,
resuelves la segunda componente en la expresión del vector en el primer miembro, y queda:
< 3n - 2 , 7 - m > = < 5 , 6 >;
luego, por igualdad entre vectores, igualas componente a componente y queda el sistema de ecuaciones:
3n - 2 = 5, y de aquí despejas: n = 7/3,
7 - m = 6, y de aquí despejas: m = 1;
luego, reemplazas estos valores remarcados en las expresiones de los puntos que tienes en tu enunciado, resuelves sus coordenadas, y queda:
A(2,-1) y B(7,5).
Espero haberte ayudado.
Hola, una pregunta un poco ridícula?
Tengo que hallar el polinomio característico de una matriz de 8x8, el rango es 5 después de hacer gauss.
El polinomio característico lo debo calcular sobre la matriz original o puedo hallarlo desde la matriz a la he hecho gauss con un determinante cualquiera de 5x5?.
gracias
Hola Unicoos,
Tengo una duda matemática en la materia de Dirección Comercial. No pude asistir a la práctica y no se como resolver el problema.
No aparece información en Internet, lo único que aparece acerca de este tema es definiciones y explicaciones, pero en ningún caso explican como resolverlo o la fórmula para hallar dichas demandas.
Tengo el examen dentro de 3 días, así que agradecería que me echaseis un cable.
Muchas gracias,

¡Hola! Nos encantaría ayudarte, pero no solemos responder dudas universitarias que no tengan que ver específicamente con los vídeos que David Calle ha grabado como excepción. O de otras asignaturas que no sean Matemáticas, Física y Química. Lo sentimos de corazón… Esperamos que lo entiendas.
Ojalá algún unicoo universitario se anime a ayudarte (de hecho, lo ideal es que todos los universitarios intentarais ayudaros los unos a los otros).
Buenas a todos/as!
Me estoy volviendo loco con un problema de probabilidad:
"Calcula el número de soluciones de la ecuación x1 + x2 + x3 = 10 (siendo los 3 números enteros positivos)."
Estoy mirando como combinarlos, pq se pueden repetir e importa el orden, no es lo mismo 1 + 1+ 8, que 8+1+1 o 1+8+1, no?
Gracias unicoos! Saludos.

Aquí tienes la respuesta:
https://es.wikipedia.org/wiki/Combinaciones_con_repetici%C3%B3n

Gracias Antonius,
Pero estoy mirando que en el caso de las combinaciones con repetición no importa el orden, en este caso sí que importaría verdad? porque como te comentaba antes no es lo mismo 8+1+1 que 1+8+1 o 1+1+8, esta es la parte que más me despista cada vez que me enfrento a esta clase de ejercicios, por eso al principio tenía dudas entre esta fórmula y la de variaciones con repetición (ya que cada número puede tomar la posición x1, x2 o x3).
VRn,m=n^m
Saludos y gracias de nuevo.

Puedes considerar las posibles ternas de valores (observa que en cada terna presentamos a los tres números ordenados de menor a mayor), y luego la cantidad de ordenamientos en cada una de ellas.
1 1 8, para lo que tienes: P(3;2,1) = 3!/(2!*1!) = 3 ordenamientos posibles (118, 181, 811);
1 2 7, para lo que tienes: P(3) = 3! = 6 ordenamientos posibles (127, 172, 217, 271, 712, 721);
1 3 6, para lo que tienes: p(3) = 3! = 6 ordenamientos posibles (136, 163, 316, 361, 613, 631);
1 4 5, para lo que tienes: p(3) = 3! = 6 ordenamientos posibles (145, 154, 415, 451, 514, 541);
2 2 6, para lo que tienes: P(3;2,1) = 3!/(2!*1!) = 3 ordenamientos posibles (226, 262, 622);
2 3 5, para lo que tienes: P(3) = 3! = 6 ordenamientos posibles (235, 253, 325, 352, 523, 532);
2 4 4, para lo que tienes: P(3;2,1) = 3!/(2!*1!) = 3 ordenamientos posibles (244, 424, 442);
3 3 4, para lo que tienes: P(3;2,1) = 3!/(2!*1!) = 3 ordenamientos posibles (334, 343, 433).
Luego, sumas todas las cantidades, y tienes que la cantidad total de ternas es:
N = 4*P(3;2,1) + 4*P(3) = 4*3 + 4*6 = 12 + 24 = 36 ordenamientos posibles;
y observa que tienes doce ordenamientos con dos cifras iguales, que tienes veinticuatro ordenamientos con tres cifras distintas, y que no tienes ordenamientos con tres cifras iguales).
Espero haberte ayudado.
Buenas Unicoos! Necesito ayuda para resolver este problema matemático con Derivadas. Parece sencillo pero me resultó muy complejo al desarrollar la primera y segunda, sin obtener lo que me piden. Debo obtener los puntos de inflexión y los intervalos de concavidad/convexidad de la siguiente función usando la derivada primera y segunda:
Si alguien entiende agradecería mucho. Saludos.
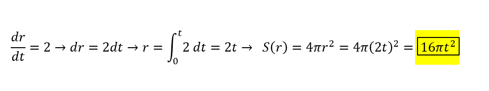
Hola unicoos, me podrían iluminar acerca de cómo resolver este ejercicio. Tengo que componer funciones, pero me cuesta mucho aplicar el concepto a un ejercicio.
El ejercicio es el siguiente:
Área de un globo: Un globo esférico de meteorología está siendo inflado. El radio del globo es creciente a razón de 2 cm/s. Exprese el área superficial del globo como función del tiempo t (en segundos).
De antemano gracias!