hola, tengo una pregunta de probabilidad. No se hacer este ejercico.
Una bolsa tiene 5 bolas negras y 3 blancas y cogemos sin reemplazamiento dos bolas. Si las bolas han resultado de distinto color, ¿cuál es la probabilidad de que la primera fuera blanca?". Gracias.
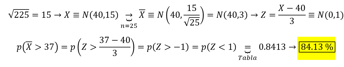
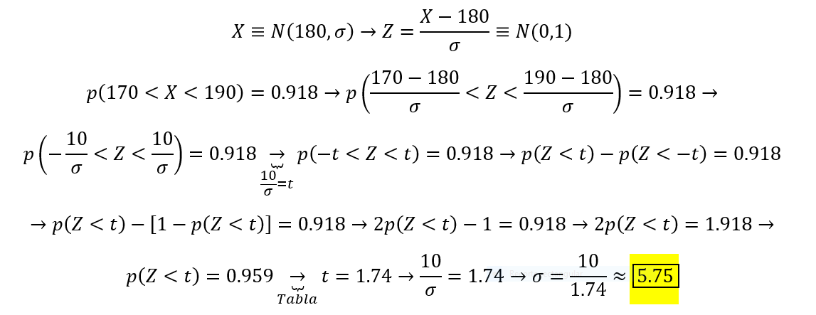
Buenos días, tengo una duda con este problema de estadística. ¿Me podéis ayudar?
"La población que ve una serie de televisión sigue una distribución normal de media 180. Si la probabilidad de que sigan la serie entre 170 y 190 personas es del 91,80%. ¿cuál es la desviación típica?"
muchas gracias

Recuerda que si las expresiones son aproximadas para la condición indicada:
f(x) ≈ g(x),
entonces tienes dos opciones posibles:
f(x) - g(x) ≈ 0 (1),
f(x)/g(x) ≈ 1 (2).
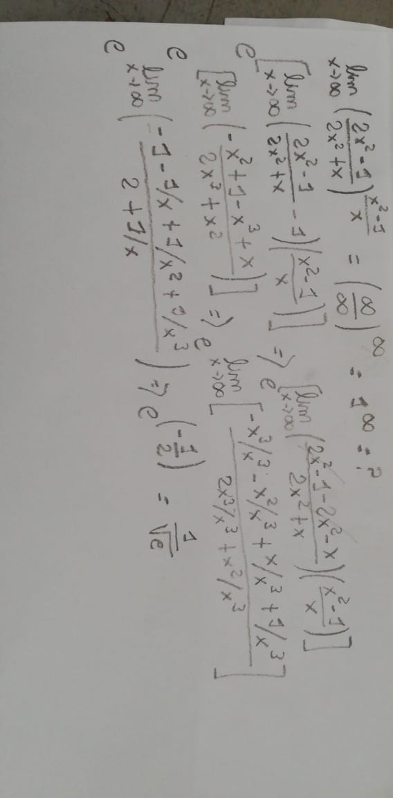
a)
Planteas la opción señalada (1), sustituyes expresiones, y tienes:
f(x) - g(x) = -3x2 + 9x - 1 - (-3x2 + 2) = -3x2 + 9x - 1 + 3x2 - 2,
cancelas términos opuestos, reduces términos semejantes, y queda:
f(x) - g(x) = 9x - 3;
luego, planteas el límite para x tendiendo a 1, y queda:
Lím(x→1) ( f(x) - g(x) ) = Lím(x→1) ( 9x - 3 ) = 6 ≠ 0,
por lo que tienes que la proposición de tu enunciado es Falsa.
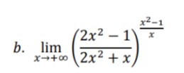
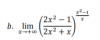
b)
Planteas la segunda opción señalada (2), sustituyes expresiones, y tienes:
f(x) / g(x) = (-3x2 + 9x - 1) / (-3x2 + 2),
extraes factor común (x2) en el numerador, extraes factor común (x2) en el denominador, y queda:
f(x) / g(x) = x2*(-3 + 9/x - 1/x2) / x2*(-3 + 2/x2),
simplificas, y queda:
f(x) / g(x) = (-3 + 9/x - 1/x2) / (-3 + 2/x2);
luego, planteas el límite para x tendiendo a infinito (observa que las expresiones fraccionarias toman valores muy pequeños), y queda:
Lím(x→+∞) f(x) / g(x) = Lím(x→+∞) (-3 + 9/x - 1/x2) / (-3 + 2/x2) = 1,
por lo que tienes que la proposición de tu enunciado es Verdadera.
c)
Planteas la opción señalada (1), sustituyes expresiones, y tienes:
f(x) - g(x) = ln(x2 + 3x - 1) - ln(x2 + 7), aplicas la propiedad del logaritmo de una división, y queda:
f(x) - g(x) = ln( (x2 + 3x - 1)/(x2 + 7) ),
extraes factor común (x2) en el numerador y en el denominador del argumento del logaritmo, y queda:
f(x) - g(x) = ln( x2*(1 + 3/x - 1/x2) / x2*(1 + 7/x2) ),
simplificas, y queda:
f(x) - g(x) = ln( (1 + 3/x - 1/x2) / (1 + 7/x2) ),
luego, planteas el límite para x tendiendo a infinito (observa que las expresiones fraccionarias toman valores muy pequeños), y queda:
Lím(x→+∞) f(x) - g(x) = Lím(x→+∞) ln( (1 + 3/x - 1/x2) / (1 + 7/x2) ) = ln(1) = 0,
por lo que tienes que la proposición de tu enunciado es Verdadera.
d)
Planteas la segunda opción señalada (2), sustituyes expresiones, y tienes:
f(x) / g(x) = ex+2/ex,
aplicas la propiedad de la multiplicación de potencias con bases iguales en el numerador del argumento del límite, y queda:
f(x) / g(x) = ex*e2/ex,
simplificas, y queda:
f(x) / g(x) = e2,
luego, planteas el límite para x tendiendo a infinito (observa que la expresión es constante), y queda:
Lím(x→+∞) f(x) / g(x) = Lím(x→+∞) ( e2 ) = e2 ≠ 1,
por lo que tienes que la proposición de tu enunciado es Falsa.
Espero haberte ayudado.