Foro de preguntas y respuestas de Matemáticas

logo beUnicoos
Los foros de unicoos se han unificado en nuestra nueva plataforma beUnicoos. Para dejar nuevas preguntas deberás hacerlo allí, donde además podrás encontrar nuevas asignaturas y herramientas para ayudarte más con tus estudios.

  • icon

    Y3
    el 18/5/19

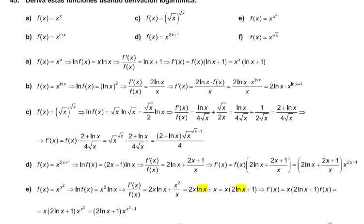
    Saca factor común y el neperiano permanece iniferente... No lo entiendo, ayuda please, gracias

    replythumb_up0 voto/sflag
    icon

    César
    el 18/5/19

    Saca factor común x por eso el ln no varia

    thumb_up0 voto/sflag
  • icon

    Y3
    el 18/5/19

     No comprendo de dónde sale el término subrayado. Gracias

    replythumb_up0 voto/sflag
    icon

    Antonius Benedictus
    el 18/5/19

    sqrt(x)=x^(1/2)

    ln(A^B)=B*lnA

    ln(x^(1/2))=(1/2)ln(x)


    thumb_up0 voto/sflag
    icon

    César
    el 18/5/19


    thumb_up0 voto/sflag
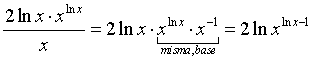
  • icon

    Y3
    el 18/5/19

    Cuál es el paso que se aplica para poner lo subrayado? Gracias

    replythumb_up0 voto/sflag
    icon

    Antonius Benedictus
    el 18/5/19

    Cociente de potencias de la misma base:

    (x^a)/(x^b)=x^(a-b)

    thumb_up0 voto/sflag
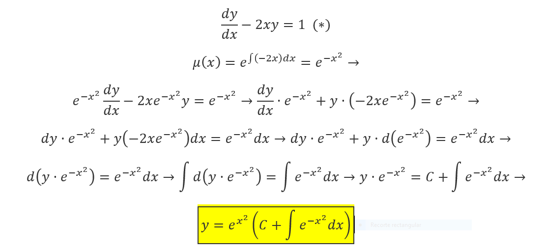
  • icon

    Yauset Cabrera
    el 18/5/19

    Hola buenos días! Me podrían ayudar con la siguiente ecuación diferencial?: y' -2xy=1

    replythumb_up0 voto/sflag
    icon

    Antonius Benedictus
    el 18/5/19


    thumb_up0 voto/sflag
    icon

    César
    el 18/5/19

    y(x) = c_1 e^(x^2) + 1/2 sqrt(Ï€) e^(x^2) erf(x)



    thumb_up0 voto/sflag
  • icon

    Mapi Santana Perez
    el 18/5/19


    replythumb_up0 voto/sflag
    icon

    César
    el 18/5/19

    Asi , de pronto ni dices tus dudas Mapi


    thumb_up0 voto/sflag
    icon

    César
    el 18/5/19


    thumb_up0 voto/sflag
    icon

    César
    el 18/5/19


    thumb_up0 voto/sflag
  • icon

    Laura
    el 18/5/19

    Hola alguien puede ayudarme con el ejercicio 7 por favor???? Muchas gracias!!!

    replythumb_up0 voto/sflag
    icon

    Antonius Benedictus
    el 18/5/19

    Las interpretaciones económicas las dejamos a tu cuidado.

    thumb_up0 voto/sflag
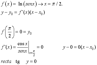
  • icon

    Rocío
    el 18/5/19

    Buenas tardes, ¿Alguien me puede ayudar con éste ejercicio?:

    Deriva la función f(x)= In(senx) y obten la ecuación de la recta tangente a la gráfica de esta función en el punto de abscisas x=π/2.


    Muchas gracias!!


    replythumb_up0 voto/sflag
    icon

    César
    el 18/5/19


    thumb_up1 voto/sflag
  • icon

    holabuenastardes
    el 18/5/19

    ¿cómo se calcula el punto de una recta más cercano a otro punto?

    tengo una recta x-1=(y+2)/2=(z+1)/-3 y un punto A(1,-1,1)

    replythumb_up0 voto/sflag
    icon

    César
    el 18/5/19

    Siendo un punto y una recta la distancia mínima estará en la perpendicular desde el punto a la recta.


    thumb_up1 voto/sflag
  • icon

    angel martinez
    el 18/5/19

    ¿Me gustaría saber como establecer, cual es la variante dependiente y cual la independiente de una función?

    eje: un ciclista sale de excursión desde su casa.durante la primera hora y media recorre 20 km  ,descansa en la media hora siguiente y,tras ponerse de nuevo ,en marcha,recorre 14 km en una hora y cuarto .hace un  descanso de tres cuartos de hora para comer y regresa sin parar hasta su casa,en lo que emplea una hora.

    no entiendo porque el tiempo es la variable independiente



    replythumb_up0 voto/sflag
    icon

    César
    el 18/5/19

    Lo es, porque la distancia recorrida depende del tiempo transcurrido (y).

    y(t)=V(t) t    t variable independiente


    thumb_up0 voto/sflag
  • icon

    angel martinez
    el 18/5/19

    Buenos días !! ¿alguien me puede explicar por  favor ,el concepto de función? Muchas gracias

    replythumb_up0 voto/sflag
    icon

    César
    el 18/5/19

    Una función es una relación o correspondencia entre dos magnitudes, de manera que a cada valor de la primera le corresponde un único valor de la segunda (o ninguno), que llamamos imagen o transformado.

    A la función se le suele designar por f y a la imagen por f(x), siendo x la variable independiente.

    • Variable independiente: la que se fija previamente
    • Variable dependiente: La que se deduce de la variable independiente.
    • as funciones son como máquinas a las que se les introduce un elemento x y devuelven otro valor y, que también se designa por f(x).

      Por ejemplo, la función f(x) = 3x2 + 1 es la que a cada número le asigna el cuadrado del número multiplicado por 3 y luego sumado 1.

      Así f(2) = 3*22 + 1= 3*4 + 1 = 12 + 1 = 13

    thumb_up0 voto/sflag