Foro de preguntas y respuestas de Matemáticas

logo beUnicoos
Los foros de unicoos se han unificado en nuestra nueva plataforma beUnicoos. Para dejar nuevas preguntas deberás hacerlo allí, donde además podrás encontrar nuevas asignaturas y herramientas para ayudarte más con tus estudios.

  • icon

    Shei
    el 18/5/19

    Hola! Cómo se resuelve este ejercicio?

    replythumb_up0 voto/sflag
    icon

    César
    el 18/5/19


    thumb_up0 voto/sflag
  • Usuario eliminado
    el 18/5/19
    flag

    Buen día unicoos

    Traigo este ejercicio que no me sale bien 

    Me podrías ayudar con este tema de superficies. Me podrías ayudar por favor ? 


    replythumb_up0 voto/sflag
    icon

    Breaking Vlad
    el 18/6/19

    Esta duda se sale de los contenidos de unicoos

    thumb_up0 voto/sflag
  • Usuario eliminado
    el 18/5/19
    flag

    Hola unicoos, bus día 

    Tengo un problema que no se como desarrollarlo 

    Me podrías ayudar ? Seria de gran ayuda muchas gracias 


    replythumb_up0 voto/sflag
    icon

    Breaking Vlad
    el 18/6/19

    Esta duda se sale de los contenidos de unicoos

    thumb_up0 voto/sflag
  • icon

    johan ayala
    el 18/5/19

    Una ayuda con este gráfico como puedo sacar la densidad máxima y contendido de humedad optima  aplicando la matemática sin el gráfico???

    replythumb_up0 voto/sflag
    icon

    César
    el 18/5/19

    Sin tener la expresión analítica no podrás hacerlo.


    thumb_up0 voto/sflag
  • icon

    d tavare
    el 18/5/19

    Si necesito 78.54 m2 de hojalata para fabricar unos cilindros. El rato que voy a comprar, cómo pido sólo en metros? no en metros cuadrados.

    replythumb_up0 voto/sflag
    icon

    César
    el 18/5/19

    No veo como, m^2 es superficie  y m es lineal.


    Tendrás que saber  la geometría de la superficie para pedir por ejemplo  8.86m x 8.86 m  si fuera cuadrada.

    thumb_up0 voto/sflag
  • icon

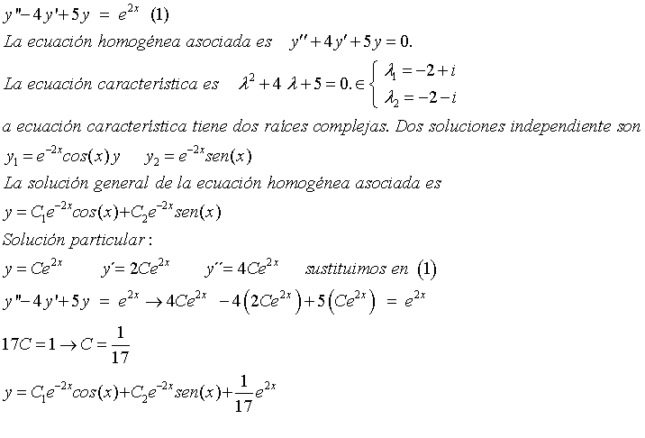
    Maria
    el 18/5/19

    Hola, me pueden ayudar?

    Encontrar la solucion general de y''-4y'+5y = e2x  
    GRACIAS! 

    replythumb_up0 voto/sflag
    icon

    César
    el 18/5/19


    thumb_up0 voto/sflag
  • icon

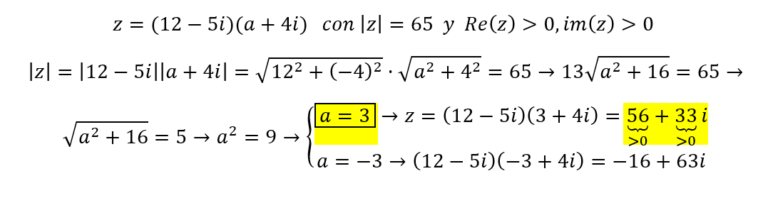
    Tomeu Palmer
    el 17/5/19

    Hola, me podeís ayudar con este ejercicio?.

    Determina el valor de "a" para que el numero complejo z=(12-5i)(a+4i) tenga módulo 65 y esté en el primer cuadrante?

    Gracias 


    replythumb_up0 voto/sflag
    icon

    César
    el 17/5/19


    thumb_up1 voto/sflag
    icon

    Antonius Benedictus
    el 17/5/19


    thumb_up1 voto/sflag
  • icon

    Beatriz García Santana
    el 17/5/19

    Hola,

    Necesito ayuda con un problema de probabilidad. Creo que he conseguido hacer la pregunta a) pero en la b) no sé qué fórmula utilizar. La verdad, es que me está costando mucho entender bien la probabilidad.

    muchas gracias por la ayuda.

    replythumb_up0 voto/sflag
    icon

    Antonius Benedictus
    el 17/5/19


    thumb_up0 voto/sflag
  • icon

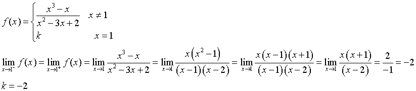
    XIME
    el 17/5/19

    odrian ayudarme con este para poder guiarme y realizar los demas?? 

    replythumb_up0 voto/sflag
    icon

    César
    el 17/5/19


    thumb_up0 voto/sflag
  • icon

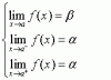
    Adela
    el 17/5/19

     En este caso debo de hallar el limite de la funcion cuando tiende a a por izquierda y por derecha, luego el limite cuando tiende a a , y el resultado de f(a), Yo coloque que ninguna de las cuatro existe puesto que hay mas de un resultado, aunque no se si al continuar la linea de abajo tocaria en un punto, me pueden ayudar? 

    replythumb_up0 voto/sflag
    icon

    César
    el 17/5/19


    thumb_up0 voto/sflag