
En primer lugar decir que si está mal que reportéis la pregunta, soy un alumno de secundaria:
Si no me equivoco tendrías que dividir la ``sombra´´ por decirlo así del árbol entre la altura de la persona. Tendrías que repetir eso mismo con el árbol contando la incógnita que tienes. La operaciones quedarían tal que así: 2,1m entre 1.75m Es igual a 15m para h. h= 1.75x15 ente 2.1. Si te fijas el resultado sale más o menos proporcional a los dibujos.
Espero haberte servido de ayuda.
Hola buenas tardes, necesito ayuda con éste ejercicio, alguien me puede ayudar?? Muchas gracias
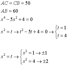
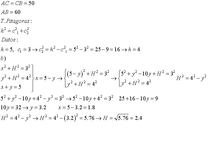
En un triángulo rectángulo la hipotenusa mide 5 cm y uno de los catetos 3 cm.
a) ¿Cuánto mide el otro cateto?
b) Halla la medida de los segmentos en los que queda dividida la hipotenusa al trazar la altura sobre ella.
c) ¿Cuánto mide dicha altura?
d) Realiza un dibujo en el que se representen todas las longitudes calculadas.